結果
開映射定理有一些重要的結果 :
開映射定理
開映射定理1.如果 是巴拿赫空間 X和 Y之間的雙射連續線性運算元,那么逆運算元 也是連續的。(Rudin 1973, 推論2.12) ;
開映射定理
開映射定理
開映射定理
開映射定理2.如果 是巴拿赫空間 X和 Y之間的線性運算元,且如果對於 X內的每一個序列( ),只要 x n → 0且 就有 ,那么 A就是連續的(閉圖像定理)。(Rudin 1973, 定理2.15)。
證明
開映射定理
開映射定理
開映射定理
開映射定理
開映射定理我們需要證明,如果 是巴拿赫空間之間的連續線性滿射,那么 就是一個開映射。為此,只需證明 把 內的單位球映射到 的原點的一個鄰域。
開映射定理
開映射定理
開映射定理
開映射定理
開映射定理
開映射定理
開映射定理設 分別為 和 內的單位球。那么 是單位球的倍數 的序列的交集, ,且由於 是滿射,
開映射定理
開映射定理
開映射定理
開映射定理
開映射定理
開映射定理
開映射定理
開映射定理
開映射定理
開映射定理
開映射定理
開映射定理
開映射定理
開映射定理
開映射定理
開映射定理
開映射定理
開映射定理
開映射定理
開映射定理
開映射定理根據貝爾綱定理,巴拿赫空間 不能是可數個無處稠密集的並集,故存在 ,使得 的閉包具有非空的內部。因此,存在一個開球 ,其中心為 ,半徑 ,包含在 的閉包內。如果 ,那么 和 位於 內,因此是 的極限點,根據加法的連續性,它們的差 是 的極限點。根據 A的線性,這意味著任何 都位於 的閉包內,其中 。於是可以推出,對於任何 和任何 ,都存在某個 ,滿足:
開映射定理
開映射定理且 (1)
開映射定理
開映射定理
開映射定理
開映射定理
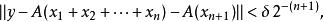
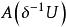
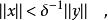
開映射定理固定 。根據(!),存在某個 ,滿足 且 || y− A x ||< δ / 2。定義序列 如下。假設:
開映射定理
開映射定理且
開映射定理根據(1),我們可以選擇 ,使得:
開映射定理且
開映射定理
開映射定理因此 滿足(2)。
開映射定理
開映射定理
開映射定理
開映射定理
開映射定理
開映射定理
開映射定理
開映射定理設 從(2)的第一個不等式可知,是一個柯西序列,且由於是完備的, 收斂於某個 。根據(2),序列 趨於,因此根據 A的連續性,有。而且:
開映射定理
開映射定理
開映射定理
開映射定理
開映射定理
開映射定理
開映射定理
開映射定理這表明每一個 都屬於,或等價地,內的單位球的像包含了 Y內的開球。因此, 是內0的鄰域,定理得證。
推廣
開映射定理
開映射定理
開映射定理
開映射定理或 的局部凸性不是十分重要的,但完備性則是:當和 是F空間時,定理仍然成立。更進一步,這個定理可以用以下的方法與貝爾綱定理結合(Rudin, 定理2.11):
開映射定理
開映射定理
開映射定理
開映射定理
開映射定理
開映射定理
開映射定理
開映射定理
開映射定理
開映射定理
開映射定理
開映射定理設為F空間,為拓撲向量空間。如果 是一個連續線性運算元,那么要么是內的貧集,要么。在後一個情況中,是開映射,也是空間。 更進一步,在這個情況中,如果是的核,那么有一個標準分解,形如下式 :
開映射定理
開映射定理
開映射定理
開映射定理
開映射定理
開映射定理
開映射定理其中是對閉子空間的商空間(也是空間)。商映射是開放的,且映射是拓撲向量空間的同構(Dieudonné, 12.16.8)。

