簡介
在泛函分析中,開映射是一類特殊的映射。如果巴拿赫空間之間的連續函式是滿射的,那么它就是一個開映射(open mapping)。
如果X和Y是巴拿赫空間,A: X → Y是一個滿射的連續線性運算元,那么A就是一個開映射(也就是說,如果U是X內的開集,那么A(U)在Y內是開放的)。
該定理的證明用到了貝爾綱定理,X和Y的完備性都是十分重要的。如果僅僅假設X或Y是賦范空間,那么定理的結論就不一定成立。然而,如果X和Y是弗雷歇空間,那么定理的結論仍然成立。
性質
(1)從離散空間到離散空間的任何映射都是開映射;
開映射
開映射證明:設
為離散空間 X 到離散空間 Y 的映射, 對 X 中任一開集 U, 因為Y是離散空間, 所以是 Y 中的一個開集,即 f 是一個開映射。
(2)從平庸空間到離散空間的任何映射都是開映射;
開映射
開映射
開映射證明:設 f: X→Y為平庸空間X到離散空間Y的映射, 因為 包含於Y, 而Y為離散空間, 所以 和 為 Y 中的開集,即f是一個開映射。
開映射
開映射(3)設 X 和 Y 是兩個拓撲空間,映射 為同胚,則映射 為一個開映射。
開映射
開映射
開映射
開映射
開映射證明:設U是X的任意開集,由於映射 為同胚, 則 也是同胚, 因而 是連續映射。對X的任意開集U,有 為 Y 中的開集,從而 為一個開映射。
開映射
開映射(4)設X和Y是兩個拓撲空間,映射為一一映射,若 f 為連續的開映射,則為同胚。
開映射
開映射
開映射
開映射
開映射證明:欲證明 為同胚, 由已知條件, 只需證明連續即可。對X中的任意開集U有。由於f為開映射,故為 Y 中的開集,從而說明連續。
開映射這樣即有如下結論:X和Y是兩個拓撲空間,為同胚的充要條件是f為一一的連續開映射。
開映射
開映射
開映射(5)設 X,Y 和 Z 是拓撲空間,映射和都為開映射,則也為開映射。
開映射
開映射
開映射
開映射
開映射
開映射
開映射證明:設W為Z中的任意開集, 由
為開映射有為Y中的開集, 再由為開映射得為 Z 中的開集. 而, 所以為 Z 中的開集, 這就證明了為開映射。
開映射(6)設 X 和 Y 是兩個拓撲空間,
是一個滿的連續開映射,則Y的拓撲是相對於滿射f而言的商拓撲。
推論
開映射
開映射(1)如果 是巴拿赫空間X和Y之間的雙射連續線性運算元,那么反函式 也是連續的。
開映射
開映射
開映射
開映射(2)如果 是巴拿赫空間X和Y之間的線性運算元,且如果對於X內的每一個序列 ,只要 且 就有y = 0,那么A就是連續的(閉圖像定理)。
開映射定理
概述
開映射定理是指如果巴拿赫空間之間的連續函式是滿射的,那么它就是一個開映射。
證明
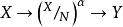
開映射我們需要證明,如果是巴拿赫空間之間的連續線性滿射,那么A就是一個開映射。為此,只需證明A把X內的單位球映射到Y的原點的一個鄰域。
設U,V分別為X和Y內的單位球。那么X是單位球的倍數kU的序列的並集,k∈ N,且由於A是滿射,
開映射
開映射
開映射
開映射
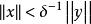
開映射根據貝爾綱定理,巴拿赫空間Y不能是可數個無處稠密集的並集,故存在k > 0,使得A(kU)的閉包具有非空的內部。因此,存在一個開球B(c, r),其中心為c,半徑r > 0,包含在A(kU)的閉包內。如果v∈ V,那么c + rv和c位於B(c, r)內,因此是A(kU)的極限點,根據加法的連續性,它們的差rv是包含於的極限點。根據A的線性,這意味著任何都位於A(δU)的閉包內,其中δ = r/ (2 k)。於是可以推出,對於任何和任何ε > 0,都存在某個,滿足:
開映射並且
開映射
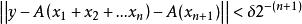
開映射固定y\in V。根據上式,存在某個x_1,滿足| | x| |且||y − A x||<δ / 2。定義序列如下。假設:
開映射並且
開映射我們可以選擇 x,使得:
開映射且
開映射因此 x滿足。設
開映射
開映射
開映射從第一個不等式可知,{s}是一個柯西序列,且由於X是完備的,s收斂於某個。序列趨於y,因此根據A的連續性,有Ax=y。而且:
開映射
開映射這表明每一個都屬於A(2U),或等價地,X內的單位球的像A(U)包含了Y內的開球(δ / 2) V。因此,A(U)是Y內0的鄰域,定理得證。
開映射定理的推廣
X 或Y 的局部凸性不是十分重要的,但完備性則是:當X和Y是F空間時,定理仍然成立。更進一步,這個定理可以用以下的方法與貝爾綱定理結合:
開映射設X為F空間,Y為拓撲向量空間。如果是一個連續線性運算元,那么要么A(X)是Y內的貧集,要么A(X)= Y。在後一個情況中,A是開映射,Y也是F空間。
更進一步,在這個情況中,如果N是A的核,那么A有一個標準分解,形如下式:
開映射其中X/N是X對閉集N的商空間(也是F空間)。商映射X→X/N是開放的,且映射α是拓撲向量空間的同構。
