定義
重根[數學代數名詞]
重根[數學代數名詞]
重根[數學代數名詞]如果 有 重因式 ,即
重根[數學代數名詞]
重根[數學代數名詞]
重根[數學代數名詞]
重根[數學代數名詞]
重根[數學代數名詞]
重根[數學代數名詞]
重根[數學代數名詞]其中, 是大於1的自然數, 是不含因式 的多項式,則稱 存在重根 ,且其重數為 。
性質
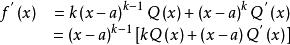
重根[數學代數名詞]根據多項式乘積的導數公式,對函式 求導可得:
重根[數學代數名詞]
重根[數學代數名詞]
重根[數學代數名詞]
重根[數學代數名詞]
重根[數學代數名詞]
重根[數學代數名詞]
重根[數學代數名詞]
重根[數學代數名詞]
重根[數學代數名詞]
重根[數學代數名詞]上式中,由於 不含因式 ,而 含有因式 ,於是括弧中的 不含有因式 ,因此 是 的 重根。由此可以得到多項式重根有以下性質:
①多項式的重根也是它的導數函式的根,且作為導數根的重數少1。
重根[數學代數名詞]
重根[數學代數名詞]
重根[數學代數名詞]②若且唯若多項式 與它的導數 的最高公因式是零次多項式時,多項式 才沒有重根。
套用舉例
重根[數學代數名詞]判斷方程 有沒有重根。
重根[數學代數名詞]
重根[數學代數名詞]
重根[數學代數名詞]
重根[數學代數名詞]
重根[數學代數名詞]
重根[數學代數名詞]
重根[數學代數名詞]
重根[數學代數名詞]
重根[數學代數名詞]
重根[數學代數名詞]
重根[數學代數名詞]
重根[數學代數名詞]
重根[數學代數名詞]
重根[數學代數名詞]解:設 ,則 ,即 和 是 的根,先將這兩根分別代入,由於是的根,所以是多項式與它的導數的公根,它就是的重根;而不是的根。
![重根[數學代數名詞] 重根[數學代數名詞]](/img/8/954/nBnauM3X2EjMygDO5MzMwADO1UTM1QDN5MjM5ADMwAjMwUzLzMzLwEzLt92YucmbvRWdo5Cd0FmLxE2LvoDc0RHa.jpg)
