重合度定義
齒輪的正確嚙合條件
重合度
重合度
重合度
重合度
重合度
重合度
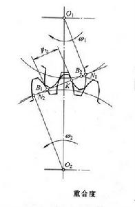
重合度要保持兩齒輪在傳動中連續平穩,就必須保證在前一對齒廓嚙合結束前(至少是同時),後一對齒廓已經進入嚙合,否則就會傳動中斷。在右圖中可見,當一對齒在點脫開嚙合時,後一對齒正好進入嚙合,如果再加大基圓齒距使嚙合點再分開,就會出現前一對齒在點脫開時,後一對齒還未能到達點嚙合的情況,從而使傳動中斷或不平穩;如果反之,如果減小基圓齒距使嚙合點再靠近,就會出現前一對齒在點脫開時,後一對齒早已到達點嚙合的情況,從而確保了傳動的連續和平穩 。也就是說,基圓齒距必須小於(最多等於)實際嚙合線長度。實際嚙合線長度與基圓齒距的比值稱為齒輪嚙合的重合度,用表示,即:
重合度重合度必須大於 (或至少等於)1,才能使一對嚙合的齒輪實現連續平穩傳動。
重合度的計算
外嚙合標準直齒圓柱齒輪重合度
外嚙合齒輪重合度
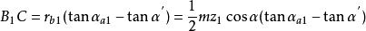
重合度如右圖所示,實際嚙合線 ,而:
重合度同理
重合度
重合度
重合度
重合度式中 為嚙合角, 、 分別為兩齒輪的齒頂壓力角,其值為:
重合度
重合度
重合度
重合度將上式的 、 和基圓齒距 值代入重合度的定義公式化簡得:
重合度
重合度
重合度
重合度
重合度由上述各計算公式可以看出,重合度與模數無關,影響重合度的主要參數是齒數z和嚙合角 。z越大, 越大;實際嚙合角 越大, 越小 。
內嚙合標準直齒圓柱齒輪重合度
內嚙合重合度根據內嚙合的特點,確定理論嚙合線和實際嚙合線的位置,如右圖所示:
通過類似的推導,可得:
重合度
重合度注意:在內嚙合傳動中, ,即內齒輪的齒頂壓力角小於嚙合角。
齒輪齒條嚙合時重合度
齒輪齒條嚙合重合度根據齒輪齒條嚙合的特點,確定理論嚙合線和實際嚙合線的位置,如右圖所示:
重合度圖中, ,通過類似的推導,可得:
重合度
重合度
重合度
重合度
重合度若構想將 、 都增加成齒條時,則重合度 將趨於某極限值 ,此時
重合度則得
重合度
重合度
重合度
重合度當 ,=20°時 ,這是重合度的最大極限值。
重合度的意義
重合度
重合度
重合度(1)作為衡量齒輪連續傳動的條件,應滿足重合度 。重合度越大,表明齒輪傳動的連續性和平穩性越好,一般機械製造業中,齒輪傳動的許用重合度 ,即要求 。
重合度(2)反映同時參與嚙合的輪齒對數的平均值,如表示平均有1.6對齒輪參與嚙合。並可據此求得單齒嚙合區間和雙齒嚙合區間,反映齒輪的傳動狀態。
(3)作為衡量齒輪承載能力和傳動平穩性的指標。重合度越大,傳動平穩性越好 。

