藥品簡介
通用名 醋酸甲地孕酮膠囊
英文名 MEGESTROL ACETATE CAPSULES
拼音名 CUSUAN JIADIYUNGTONG JIAONANG
藥品類別 激素類及抗激素類抗腫瘤藥
性狀 本品為膠囊劑,內容物為白色顆粒。
貯藏 遮光、密閉保存。
主要成分
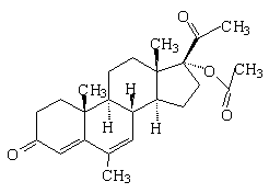
醋酸甲地孕酮結構式通用名 醋酸甲地孕酮
化學名 6-甲基-17α-羥基孕甾-4,6-二烯-3,20-二酮17-醋酸酯
拼音名 CUSUAN JIADIYUNTONG
英文名 MEGESTROL ACETATE
CAS No. 595-33-5
分子式 C24H32O4
分子量 384.52
規 格 0.08g
藥理毒理
本品為半合成孕激素衍生物,對激素依賴性腫瘤有一定抑制作用。其作用機理與甲孕酮相同,可能是通過對垂體促性腺激素分泌的影響,控制卵巢濾泡的發育及生長,從而減少雌激素的產生。作用於雌激素受體,阻止其合成和重新利用,干擾其與雌激素的結合,抑制瘤細胞生長。此外,還可拮抗糖皮質激素受體,干擾類固醇激素受體與細胞生長分化相關的調節蛋白間的相互作用。
藥代動力學
口服本品160mg後能迅速吸收,血藥濃度升高較快,2小時後可達到峰值,吸收半衰期為2.5小時,大部分藥物以葡萄糖醛酸結合物形式經腎臟排泄,消除相半衰期為32.5小時。
適應症
主要用於治療晚期乳腺癌和晚期子宮內膜癌,對腎癌、前列腺癌和卵巢癌也有一定療效。並可改善晚期腫瘤患者的食慾和惡病質。
用法用量
一般劑量:每次160 mg,口服,每日1次。
高劑量:每次160 mg,口服,每日2~4次。
不良反應
與其它孕酮類藥物相似,但一般較輕。體重增加為本品常見不良反應,是由於體內脂肪和體細胞體積增加所致,而不一定伴有液體瀦留。對於晚期癌症惡病質及體重下降患者,這種副作用常常是有益的。血栓栓塞現象罕見報導,包括血栓性靜脈炎及肺動脈栓塞。其它反應可引起乳房疼、溢乳、陰道流血、月經失調、臉潮紅。也有腎上腺皮質醇作用,滿月臉、高血壓、高血糖。子宮出血發生率為1~2%。偶見噁心及嘔吐,罕見呼吸困難、心衰、皮疹等反應。
禁忌症
對本品過敏者禁用。對伴有嚴重血栓性靜脈炎、血栓栓塞性疾病、嚴重肝功能損害和因骨轉移產生的高鈣血症患者禁用。
注意事項
對接受本品治療的患者應進行常規的密切監測,對未控制的糖尿病及高血壓患者需小心使用。不主張用於乳腺癌的術後輔助治療。禁用於妊娠診斷試驗。
用藥
孕婦及哺乳期婦女用藥 由於在妊娠起首四個月內,套用孕酮類藥物對胎兒有潛在性傷害,故不推薦使用本藥物。本品對新生兒具有潛在的毒害作用,哺乳期婦女用藥期間應停止哺乳。
兒童用藥
老年患者用藥
藥物相互作用
尚不明確。
