定義
假設有一個和兩個變數相關的機率分布:
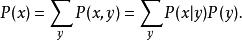
邊緣分布關於其中一個特定變數的邊緣分布則為給定其他變數的條件機率分布:
邊緣分布在這個邊緣分布中,我們得到只關於一個變數的機率分布,而不再考慮另一變數的影響,實際上進行了降維操作。在實際套用中,例如人工神經網路的神經元互相關聯,在計算它們各自的參數的時候,就會使用邊緣分布計算得到某一特定神經元(變數)的值。
條件機率分布
概述
條 件機率分布( Conditional Probability Distribution,或者 條件分布, Conditional Distribution)是現代機率論中的概念。已知兩個相關的隨機變數X和Y,隨機變數Y在條件{X=x}下的條件機率分布是指當已知X的取值為某個特定值x之時,Y的機率分布。 如果Y在條件{X=x}下的條件機率分布是連續分布,那么其密度函式稱作Y在條件{X=x}下的 條件機率密度函式( 條件分布密度、 條件密度函式)。與條件分布有關的概念,常常以“條件”作為前綴,如條件期望、條件方差等等。
例子
邊緣分布
邊緣分布
邊緣分布假設在桌子上拋擲一枚普通的骰子,則其點數結果的機率分布是集合的均勻分布:每個點數出現的機率都是均等的六分之一。然而,如果據某個坐在桌邊的人觀察,向著他的側面是6點,那么,在此條件下,向上的一面不可能是6點,也不可能是6點對面的1點。因此,在此條件下,拋骰子的點數結果是集合的均勻分布:有四分之一的可能性出現四種點數中的一種。可以看出,增加的條件或信息量(某個側面是6點)導致了點數結果的機率分布的變化。這個新的機率分布就是條件機率分布。

