定義
質量守恆定律是套用於研究大氣運動的基本物理定律,其數學表達式成為連續方程(continuity equation)。
它表明,速度場與密度場是相互制約的,故連續方程也是描寫大氣運動的基本方程之一。
方程推導過程
圖1 物質體積元的體積在運動中的變化
連續方程
連續方程
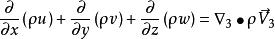
連續方程考慮一個具有固定質量 的物質體積元,其體積為 (取笛卡爾坐標系,見圖 1),則有:
由於物質體積元在運動中質量守恆,因此有(1)式 :
連續方程又
連續方程
連續方程
連續方程
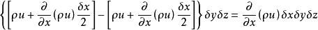
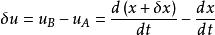
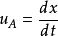
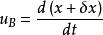
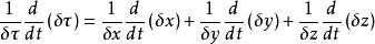
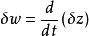
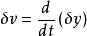
連續方程由圖2.7所示,我們發現物質體積元的 y - z面(分別用A,B表示)隨氣流在 x 方向移動著,A面的速度為 ,B面的速度為 ,A 面和B 面的速度差為
連續方程
連續方程
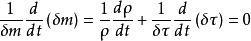
連續方程即有 ,類似地有 ,
所以
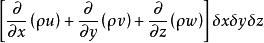
連續方程代入(1)式,得到
連續方程或寫成(2)式
連續方程這就是連續方程 。
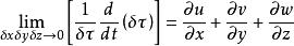
速度散度
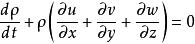
根據連續方程,有
連續方程表示速度散度。
連續方程
連續方程速度散度代表物質體積元的體積在運動中的相對膨脹率。因此連續方程的物理意義極為清楚,它表明,當物質體積元在運動中體積增大時( ),因質量守恆其密度要減小;運動中體積減小時( ),其密度要增大。
質量淨流出率
圖2 沿x方向流入固體體積元中的大氣質量(2)式還可改寫為(3)式 :
連續方程
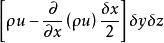
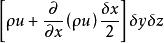
連續方程對於流體中一固定空間體積元而言, 代表每單位空間體積中流體質量的淨流比率,這不難加以說明。事實上通過固定空間體積元 A 面(見圖 2 )的質量流入率為
連續方程通過B面上質量的流出率為
連續方程故 x 方向上運動引起的質量淨流出率為
連續方程y 和 z 方向上的運動引起的質量淨流出率的表達式是類似的。所以從固定體積元中質量的淨流出率為
連續方程單位體積中的質量淨流出率為
連續方程
連續方程
連續方程因此,(3)式的物理意義也是清楚的,它表明,對於固定空間體積元而言,當有質量流入時( ),固定體積元的密度要增大;當有質量流出時( ),固定體積元的密度要減小。

