定義
牛頓法(Newton's method)又稱為牛頓-拉夫遜方法(Newton-Raphson method),它是一種在實數域和複數域上近似求解方程的方法。方法使用函式f(x)的泰勒級數的前面幾項來尋找方程f(x) = 0的根。
牛頓方程起源
牛頓法最初由艾薩克·牛頓於1736年在 Method of Fluxions 中公開提出。而事實上方法此時已經由Joseph Raphson於1690年在Analysis Aequationum中提出,與牛頓法相關的章節Method of Fluxions在更早的1671年已經完成了。方法說明
首先,選擇一個接近函式f(x)零點的x0,計算相應的f(x0)和切線斜率f'(x0)(這裡f'表示函式f的導數)。然後我們計算穿過點(x0,f(x0))並且斜率為f'(x0)的直線和x軸的交點的x坐標,也就是求如下方程的解:
例子我們將新求得的點的x坐標命名為x1,通常x1會比x0更接近方程f(x) = 0的解。因此我們現在可以利用x1開始下一輪疊代。疊代公式可化簡為如下所示:
疊代已經證明,如果f'是連續的,並且待求的零點x是孤立的,那么在零點x周圍存在一個區域,只要初始值x0位於這個鄰近區域內,那么牛頓法必定收斂。 並且,如果f'(x)不為0, 那么牛頓法將具有平方收斂的性能.粗略的說,這意味著每疊代一次,牛頓法結果的有效數字將增加一倍。下圖為一個牛頓法執行過程的例子。
第一個例子
求方程f(x) = cos(x) − x3的根。兩邊求導,得f '(x) = −sin(x) − 3x2。由於cos(x) ≤ 1(對於所有x),以及x3 > 1(對於x>1),可知方程的根位於0和1之間。我們從x0 = 0.5開始。
牛頓方程第二個例子
牛頓法亦可發揮與泰勒展開式,對於函式展開的功能。
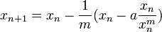
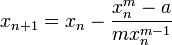
求a的m次方根。
xˇm - a= 0
設f(x) = xm − a,f'(x) = mxm − 1
而a的m次方根,亦是x的解,
以牛頓法來疊代:
牛頓方程或
牛頓方程第二定律方程
按照牛頓第二定律,在慣性參照系中,質點在外力F作用下所獲得的加速度矢量
與所受的力F有下列關係:F=ma。其中m是質點的質量,a是質點某一時刻的瞬時加速度。這是
一個矢量形式的二階微分方程。在實際運算時,常選取不同的坐標系,方程的分量形式就會有不同的表示。
以直角坐標係為例。其分量形式為:
如果作用力時已知的,這一組二階微分方程加上初條件(t=0時的位置和速度),解方程後即可決定以後任何時刻的位置和運動狀態。
