定義
聖維南研究物體的變形時,曾從物體內割出一些圓柱微分單元體,顯然,各相鄰單元體的變形應是諧調的,所以物體在變形前是一個連續體,變形後也是一個連續體 。
而通過數學表達式來描述這一性質,就是變形連續方程。變形連續方程又稱為相容條件,是由聖維南(B.de Saint-Venant)於1864年提出的。
表達式
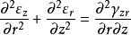
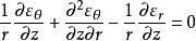
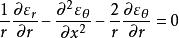
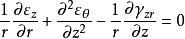
柱坐標系下的表達式:
變形連續方程
變形連續方程
變形連續方程
變形連續方程上式也可以轉化成標準三維x,y,z坐標系下的表達式(略)。
變形連續方程是力學中的一個概念,用來描述某一物體受到外力的作用在變形前是一個連續體,變形後也是一個連續體。
聖維南研究物體的變形時,曾從物體內割出一些圓柱微分單元體,顯然,各相鄰單元體的變形應是諧調的,所以物體在變形前是一個連續體,變形後也是一個連續體 。
而通過數學表達式來描述這一性質,就是變形連續方程。變形連續方程又稱為相容條件,是由聖維南(B.de Saint-Venant)於1864年提出的。
柱坐標系下的表達式:
變形連續方程
變形連續方程
變形連續方程
變形連續方程上式也可以轉化成標準三維x,y,z坐標系下的表達式(略)。
初等常微分方程,能用微積分的方法求出其通解或通積分的常微分方程。
初等常微分方程岩體變形是指岩體承受的外力不超過抗壓、抗剪強度極限時表現出的結構和形態的改變,可分為材料變形型和結構變形型兩類。 體積變化是指在應力變化條件下岩體體積脹...
簡介 岩體變形類型 岩體變形機制 本構方程 影響岩體變形特性的主要因素在直角坐標系中,如果某曲線C上的點與一個二元方程f(x,y)=0的實數解建立了如下的關係:(1)曲線上點的坐標都是這個方程的解;(2)以這個方程的解為坐...
基本內容 求解步驟 求解方法 曲線 等式性質本構方程(constitutive equation),反映物質巨觀性質的數學模型。又稱本構關係(constitutive relations) 。通常...
方程簡介 方程意義 常用方程 金屬切削過程1概述 圓[1]、橢圓[2]和卵圓是客觀存在的三種圓形。圓與橢圓的圖形特徵與性質人們研究的相當完美,唯獨卵圓時至今日尚未被認識,幾何學上還沒有卵圓的專業...
在直角坐標系中,如果某曲線C(看作點的集合或適合某種條件的點的軌跡)上的點與一個二元方程f(x,y)=0的實數解建立了如下的關係: (1)曲線上點的坐標...
求曲線的方程 什麼是曲線 方程的一些概念建築物變形觀測是指測定建築物及其地基在建築物本身的荷載或受外力作用下,一定時間段內所產生的變形量及其數據的分析和處理工作。隨著高大建築的增多和古建築的維...
建築物變形觀測 正文 配圖 相關連線在建築、橋樑、航空以及管道線路等工程中,常遇到一種梁具有三個或更多個支承,稱為連續梁。
詳細介紹 簡史的Lagran 3.6Lagran 4Lagran
圖書信息 圖書簡介 前言 目錄