方程簡介
又稱流變方程。描述特定連續介質運動學量、動力學量、熱力學狀態之間相互關係的方程。是以應力、應變和時間關係來描述物料的流變性質。它反映了特定物質的固有屬性,隨所研究的具體介質和運動條件而變。
歸納巨觀實驗結果,建立有關物質的本構關係是連續介質力學和流變學的重要研究課題。最熟知的本構關係有胡克定律(Hooke's law)、牛頓粘性定律(見粘度)、理想氣體狀態方程、熱傳導方程等。
建立本構關係時,為保證理論的正確性,須遵循一定的公理 ,即所謂本構公理 。例如純力學物質的本構公理有三:確定性公理(物體中的物質點在時刻t的應力狀態由物體中各物質點的運動歷史唯一確定)、局部作用公理(物體中的物質點的應力狀態與離開該物質點有限距離的其他物質點的運動無關)和客觀性公理(物質的力學性質與觀察者無關)。若考慮更複雜的情況,本構公理的數目就相應增多。求解連續介質動力學初邊值問題,本構關係是不可少的;否則就無法把握所研究連續介質的特殊性,在數學上表現為控制方程不封閉,其解不能唯一確定。建立物質的本構關係是流變學的重要任務,可通過實驗方法、連續介質力學方法和統計力學的有機結合來完成。然而,尚未找到一個普適的本構關係,需根據研究對象和流動形態選用合適的本構關係。理性力學除對本構關係進行極為一般的研究外,還對彈性物質、粘性物質、塑性物質、粘彈性物質、粘塑性物質、彈塑性物質以及熱和力耦合、電磁和力耦合、熱和力以及電磁耦合等物質的本構關係進行具體研究。
方程意義
連續介質力學中描述特定物質性質的方程。它建立了特定連續介質的運動學量、動力學量、熱力學狀態之間的某些相互關係。本構關係隨所考慮的具體介質和運動條件而變。
質量、動量、能量守恆律對所有物質都適用,連續介質力學以各種微分方程,如連續方程、運動方程、平衡方程等為主要研究手段。通常,這些方程中的動力學量、運動學量(有時還包括熱力學量),都是未知函式,其數目多於體現上述守恆律的方程的個數。為了求解反映守恆律的方程組,添加了本構方程,使自變數的數目同總的方程數目相等。所以,本構方程是解決連續介質力學問題中的質量、動量、(有時加上)能量守恆定律的必要補充。
客觀上存在的流體、固體多種多樣,運動的環境也千差萬別,為了對問題進行深入的研究,本構方程只能反映介質性質的主要方面,否則使問題過於複雜,理不出頭緒。本構方程規定的介質是客觀物質的力學模型。本構方程必須反映介質和運動環境的主要特點,但又要求簡單,使所列出的方程便於進行數學計算。
常用方程
常用的並且是最為成熟的用於連續介質力學的本構方程有下列三組:
無粘流體
(1)粘度為零,即 η= η┡=0, η和 η┡為粘度和第二粘度;(2)應力張量只是壓力 p;(3)密度均勻不變, ρ( x, y, z, t)=常數,或是在密度顯著變化時採用常比熱完全氣體(見流體力學的能量方程)的模型:定容比熱容сv=常數,定壓比熱容 с p=常數, p= ρR T,式中 T為熱力學溫度, R為普適氣體常數。單位質量內能 e=сv T,熵 S- S0=сvln pρ-γ,式中 γ為с p/сv, S0為某一約定狀態的熵值。
牛頓流體
(1)粘度 η= η( T, p),函式的具體形式隨流體和溫度範圍而變;
公式(2)應力張量的一部分是壓力 p,此外,還加上同粘性和變形率(見流體力學)有關的張量,其分量為式中 Up( U3, U3, U3)為流速 U的三個分量;
(3) rho;( x, y, z, t)=常數,或任何形式的具體狀態方程 f1( p, rho;, T)=0, f2( e, p, S)=0。
完全彈性體
流速U的三個分量
六個分量
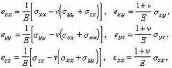
胡克定律表述(各向同性)是固體力學中發展得最為成熟的部分,在直角坐標系中它的本構方程是應力張量的六個分量σ xx,σyy,σzz,σxy,σyz,σzx同應變張量的六個分量 exx,eyy,ezz,exy,eyz,ezx之間的線性關係,由胡克定律表述 式中 E是楊氏模量, v是泊松比,同粘性流體相比,這裡既沒有熱力學量,也沒有對時間的導數。溫度升高會使金屬膨脹而產生應力,要考慮這個效應,就應補充σ ij= ?( T- T0),式中的常數 ?和線膨脹係數有關。
20世紀20年代開始構造塑性力學的本構方程,這遠比各向同性完全彈性體複雜,已經有很多成功的模型, 然而仍待做更多的研究。從50年代起對1300℃以上的空氣、動載荷下土壤(由土、空隙和水組成,又分軟土、硬土等)做了大量研究。對空氣做得很成功,對土壤(尤其是硬土)至今尚待完善。燃燒產物的本構方程,蒸氣和水、煤粉和空氣、煤塊和水等等兩相共存混合物的本構方程,不斷出現的新型材料的本構方程,都是近代很受重視的研究對象。
建立本構方程時既要有理論上的推理、論證,還要有實驗測定的若干常數。在研究和使用本構方程的長期過程中,人們致力於劃清適用條件,闡明理論模型同實際的符合程度。
同一種物質,在不同的條件下又可以針對所考慮的那一類條件,列出適用於該類條件的本構方程。例如,討論水池中波浪,可以用密度 rho;=常數, η=0,應力張量只是壓力這一流體模型。但討論水中聲音傳播時則必須考慮密度的變化加上絕熱過程的條件。金屬在載荷小、變形小的條件下可以看作各向同性彈性體;金屬在載荷過大、變形過大條件下會呈現塑性以至斷裂,這時,胡克定律就不適用了。
金屬切削過程
金屬切削變形本構方程
金屬切削過程的本構關係與應變、應變率、溫度等多種因素有關,建立切削變形區內工件材料的本構方程是研究切削變形的關鍵。切削過程的本質是在一定條件下,工件材料在外力作用下,產生一個從彈性變形※塑性變形(滑移、孿生、晶界滑動、擴散性蠕變)※斷裂(切屑與工件分離)的過程,因此切削變形學的研究可看作是熱—彈塑性非線性問題的一個分支。
金屬切削過程的應力 σ與等效應變 ε、應變率﹒ε、溫度T等多種因素有關,它們之間的本構函式關係 σ= f( ε,ε ,T)依靠試驗方法來測定。目前使用較多的切削過程變形應力(流動應力)測試方法主要有材料力學試驗測試方法、擊試驗法、切削試驗法及反向求解法等。
金屬切削本構關係的數學公式通常首先根據上述試驗,總結出經驗規律,獲取材料在比較簡單的應力狀態下的本構方程,然後通過某些理論假設,把這些試驗結果推廣套用到複雜應力狀態上去,給出數學表達式,構造本構方程。也就是說,根據有限的試驗資料,利用某種理論去建立材料的本構方程並確定相關的參數。

