建立的有效途徑
根據熱力學基本原理,熱力學本構方程有兩個有效途徑:一是利用Helmholtz 自由能;二是利用Gibbs自由能。
套用
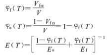
主要用於形狀記憶聚合物變形機理研究:從微觀結構看,形狀記憶材料可以理解為由凍結態和激活態組成的兩相結構,其凍結過程對應激活態逐步轉變為凍結態的過程,而恢復過程則對應微結構由凍結態向激活態的轉變過程。任一時刻凍結態體積份數φf(T)、激活態體積份數φα(T)和等效模量E(T)可分別表示為:
熱力學本構方程式中:V凍結態體積份數;V—材料總體積;E和E—激活態和凍結態楊氏模量。
隨著溫度的降低,應力幅值由三部分組成:初始預應力,降溫過程中的熱應力累積,以及由於粘性效應造成的機械和熱應力損失。因此,其應力表達式為:
熱力學本構方程
熱力學本構方程熱力學本構方程是形狀記憶聚合物變形機理研究的基礎,基於形狀記憶聚氨酯單軸拉伸和三點彎曲實驗結果,對其形狀凍結和恢復過程進行了理論分析,在此基礎上,建立了一個新的熱力學本構方程。該模型通過引進等效延遲係數考慮了材料形狀凍結/恢復時間延遲效應,通過引入應力鬆弛係數考慮了材料粘彈效應的影響。

