定義
超線性收斂
超線性收斂
超線性收斂
超線性收斂
超線性收斂
超線性收斂
超線性收斂
超線性收斂
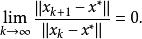
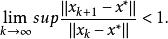
超線性收斂對於收斂點列,如果其 Q 因子 滿足,則稱是 Q 超線性收斂於;如果其 R 因子滿足,則稱是 R 超線性收斂於。
一個點列如果 Q 超線性收斂就一定 R 超線性收斂,但反之不然。
通常,超線性收斂是指 Q 超線性收斂,它等價於
超線性收斂線性收斂
超線性收斂
超線性收斂
超線性收斂
超線性收斂
超線性收斂
超線性收斂
超線性收斂
超線性收斂對於收斂點列,如果其 Q 因子滿足,則稱是 Q 線性收斂於;如果,則稱是 Q 次線性收斂於。
超線性收斂
超線性收斂
超線性收斂
超線性收斂
超線性收斂
超線性收斂
超線性收斂如果收斂點列的R 因子滿足,則稱是 R 線性收斂於。如果,則稱是 R 次線性收斂。
一個點列如果 Q 線性收斂就一定 R 線性收斂,但反之不然。
通常,線性收斂是指 Q 線性收斂,它等價於
超線性收斂
