基本概念
堆中子活化後,許多種岩石樣品產生強的 Al, Mn, Na, K, Cr, Sc, Fe, La等放射性核素,而多種生物樣品則產生強的 Na, K, P, Cl, Zn等核素。所有上述核素的生成反應都有低的共振積分對熱中子截面比。超熱中子活化可以大大壓低它們的反射性,從而對熱中子截面比較高的元素Ga,As,Se,Br,Rb,Sr,Mo,Pd,Ag,Cd,In,Sb,Cs,Ba,Sm,Gd,Tb,Tm,Ta,W,Pt,Au,Th,U等的分析精密度或探測極限有不同程度的改善。
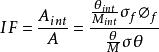
超熱中子活化分析堆中子活化分析中,快中子(n,p),(n,α)閾反應干擾的干擾因子IF,定義為單位質量干擾元素與單位質量待測元素生成的同種核素的放射性比:
超熱中子活化分析
超熱中子活化分析
超熱中子活化分析
超熱中子活化分析
超熱中子活化分析式中, 為靶核同位素豐度;M為靶元素原子量;角注“int”意為干擾元(核)素, 和 分別為堆快中子截面和通量; 和 分別為(n,γ)反應的有效截面和通量;A為生成核的比放射性。
活化分析
超熱中子活化分析茶葉中的微量砷
砷是茶葉衛生指標中常規檢測項目之一,少量攝入可在體內蓄積造成慢性中毒。 茶葉中砷的測定需要預先消化處理,在消化過程中易造成試劑空白值升高,樣品中砷的損失,影響測定的結果。微型核反應堆中子活化分析,以其靈敏度高,準確度好,精密度高,無試劑空白,分析元素廣及操作簡單等優點,在衛生、生物學、環境科學中被廣泛地套用。
由於茶葉中含有 Na、K、Cl等元素,它在被反應堆熱中子照射以後,產生較強的放射性,使砷的測定檢出限升高,這就大大影響了砷的測定準確度、精密度。然而這些元素的熱中子截面σ大,超熱中子截面I小,砷則相反,砷的超熱中子截面I大,熱中子截面σ小。
茶葉成分複雜,雖說用鎘禁止掉大部分的 Na、K,但是樣品中仍然有一部分Na、K等元素被活化,它們產生的放射性提高本底影響 As 測定,這時要選擇適當的冷卻時間進行測量,使 Na、 K的影響降低最低。其次 Br 的 554 Kev 峰也影響 As的 559 Kev峰的測量,如果樣品中Br含量較高時,改用 As的另一能量峰658Kev 進行測量。
痕量金標樣的超熱中子活化分析
中子結構圖金礦是我國急需礦種。在以往找礦工作中,都是通過與金的伴生元素來找礦的,工作量大而收效低,近年來由於痕量金分析技術的進展,直接以痕量金異常來找礦,得到可喜的成績。隨著金礦找礦、勘探工作的蓬勃發展,必然促進地質、地球化學理論的研究,不僅需要找到金異常,還要探索礦床成因,評價岩層的含金性,了解金在各種礦物中的分布直到對已探明金礦的評價,在這一系列工作中,都要求分析痕量金含量,要求方法的檢出限達到 PPb量級。
在痕量金分析方法中,無火焰原子吸收、化學光譜和比色分析已作為常規分析方法。但是上述方法都需進行化學預富集處理,在冗長複雜的操作過程中,引入誤差的可能性大,同時對1PPb含量範圍,方法靈敏度還嫌不夠。為此選用了中子活化分析。該法的顯著優點是靈敏度高。此外,採用儀器中子活化分析,避免了化學處理中流失及污染。採用放射化學中子活化分析( RNAA )對照射後樣品進行化學處理,無試劑污染,回收率也是可測定的。在這批標樣的測試數據中,中子活化法的數據占19.5%。 這說明這種方法已在地質工作中起著愈來愈重要的作用。
用超熱中子活化分析測定礦石樣品中金時,由於超熱中子自禁止產生的金的減低情況,製備了3種不同金粒度範圍的合成金礦樣,並分別用熱中子活化分析方法和超熱中子活化方法分析。3種金粒度的範圍即≤53μm、53-150μm和150-250μm合成的礦樣,超熱中子活化分析結果與熱中子活化分析法比較,金分別降低了11%、31%和33%,同時測量金的標準參考礦物的減低因子為5%。

