簡介
調和級數是各項倒數為等差數列的級數,通常指項級數
調和數列各項倒數所成的數列(不改變次序)為等差數列。從第2項起,它的每一項是前後相鄰兩項的調和平均,故名調和級數。
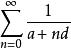
推而廣之,具有這種性質的每一個級數,即形如
調和數列的級數也稱為調和級數,其中 a,b 是常數. 調和級數是發散的,但其部分和
調和數列增長極慢。
調和數列
調和數列
調和數列
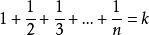
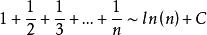
調和數列歐拉 (Euler,L.) 計算過與是等價無窮大,更準確地,有,其中 C=0.557 215... 是歐拉常數,。這是歐拉於1740 年發現的,更一般地,級數
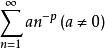
調和數列稱為廣義調和級數,亦簡稱調和級數,它的通俗名稱是 p 級數,當 p>1 時收斂,p<=1 時發散。
定義
定義1:正整數的倒數組成的數列,稱為調和數列。
調和數列
調和數列
調和數列定義2:若數列滿足(n∈N*,d為常數),則稱數列調和數列。
性質
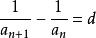
調和數列的前n項和不是整數
調和數列對任意正整數n∈N,有不是整數。
調和數列
調和數列
調和數列
調和數列
調和數列
調和數列
調和數列
調和數列
調和數列
調和數列
調和數列
調和數列
調和數列
調和數列
調和數列
調和數列
調和數列證明:若不然,則令( k∈ Z)。考察正整數,使得,由整數的唯一分解性,對任意整數有,其中(事實上若且唯若時等號取得,若不然則有,矛盾!)。令為1— n最低公倍數,則有為偶數(因為 B中顯然有因子2),但為奇數(因為B中最多只有個因子2),為偶數(因為)。故有為奇數但為偶數,矛盾!所以假設不成立,非整。
調和級數發散
人們已經研究調和數列已經幾百年了.但是迄今為止沒有能得到它的求和公式只是得到它的近似公式(當n很大時):
調和數列
調和數列(稱作歐拉常數,專為調和級數所用,至今不知是有理數還是無理數)
人們傾向於認為它沒有一個簡潔的求和公式。但是,不是因為它是發散的,才沒有求和公式。相反的,例如等差數列是發散的,公比的絕對值大於1的等比數列也是發散的,它們都有求和公式。
調和數列當時
調和數列
調和數列這個級數是發散的。簡單的說,結果為
------------------
用高中知識也是可以證明的,如下:
調和數列
調和數列
調和數列
調和數列
調和數列
調和數列
調和數列
調和數列
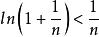
調和數列對於任意一個正數,把分成有限個,必然能夠找到,使得
調和數列
調和數列
調和數列所以時,
調和數列(由也可證明)。

