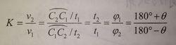
行程速度變化係數行程速比係數K的值等於 從動件空回行程的平均速度V2 除以 從動件工作行程的平均速度V1

行程速比係數K,用於表明機構急回運動的急回程度。
行程速度變化係數行程速比係數K的值等於 從動件空回行程的平均速度V2 除以 從動件工作行程的平均速度V1
行程速比係數,為了衡量機構的急回運動的相對程度,通常把從動件往復擺動時快速行程(回程)與慢速行程(推程)平均角速度的比值稱為行程速比係數,用K表示。
特點 推導過程、壓力高且變化大時,應選用閥芯和閥座的材料受溫度、壓力變化小的閥門...。若調節精度高,可選擇液動執行機構。如發電廠透明機的速度調節、煉油廠...調節閥、現場匯流排型調節閥等。分類 調節閥 調節閥按行程特點可分為:直行程...
定義 基本資料 名稱大觀 分類 發展歷程) 。衡量參數為了表明急回運動的急回程度,可用行程速度變化係數或行程...一般雙曲柄機構可有很大的行程速度變化係數K,並可用改變機架長度等方法來改變行程速度變化係數,故常用作可調變速轉動機構(如右圖 b)。工程套用...
急回運動 衡量參數 工程套用排量,它取決於缸徑和活塞行程。發動機排量是非常重要的發動機參數,它比缸徑...的長度和高度,而更低的安裝位置可以便於設計師設計出風阻係數更低的車身,同時...
發展歷史 基本參數 基本結構 結構布局 技術特點。 自動流量平衡閥是通過自動改變閥芯的過流面積、適應閥前後壓力變化,來控制...是:當系統內有些末端設備如風機盤管機組、新風機組等的調節閥,隨著空調負荷的變化...變化而變化,保證不會超過原先設定的水流量並吸收過量的壓差,從而實現整個水...
產品介紹 優點特性 工作原理 技術特徵 性能特點、磁電等效應。被測信號量的微小變化都將轉換成電信號。化學感測器 包括那些以化學吸附、電化學反應 等現象為因果關係的感測器,被測信號量的微小變化也將...感測器在正向(輸入量增大)和反向(輸入量減小)行程間輸出-輸入特性曲線...
產品定義 產品特點 工作原理 組成介紹 性能指標直徑(英寸)] [載重係數][速度標識]或者[胎寬mm]/[胎厚與胎寬的百分比][速度標識] R[輪轂直徑(英寸)] [載重係數]例如輪胎...載重係數-------------------88速度係數...
發展起源 輪胎分類 常見種類 技術規格 使用技巧配備有良好空氣動力學組件的車,軟的彈簧在速度提高時會造成車高的變化,造成...定位變化小的優點,但由於其舒適性及操縱穩定性都較差,在現代轎車中基本上已...,側傾中心高,有較強的抗側傾能力的優點。但隨著現代汽車速度的提高,側傾中心...
分類 元件分類 工作原理 彈簧作用 彈簧改裝給定發射武器的結構數據及裝填條件,解出壓力和速度的變化規律,為武器的改進提供依據。例如對火炮內彈道方程組求解,可以直接給出隨彈丸行程及時間變化的壓力曲線和速度曲線。曲線所表示的變化規律即反映了火炮內彈道的特點。 圖1和...
簡介 簡史 研究對象 研究內容 發展