特點
行程速度變化係數,又稱行程速比係數
行程速比係數一般,,其中θ為極位夾角。
推導過程
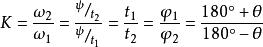
在曲柄搖桿機構中,雖然搖桿來回擺動擺角(Ψ)相等,但對應的曲柄擺角不等(φ1>φ2);當曲柄勻速轉動時,對應的時間也不等(t1>t2),從而反映了搖桿往復擺動快慢的不同。
令曲柄φ1為工作行程(推程),此時搖桿的平均角速度是ω1=Ψ/t1;曲柄φ2為空回行程(回程),此時搖桿的平均角速度是ω2=Ψ/t2。
顯然ω1<ω2
行程速比係數或
行程速比係數上式表明θ與K存在一一對應關係,因此急回特性也可以用θ表征。曲柄的θ與從動件極限位置對應的極限位置有關,故稱θ為極位夾角。
顯然,θ越大,K就越大,急回特性性質越顯著。
除四桿機構中曲柄連桿機構有急回特性,偏置曲柄滑塊機構和擺動導桿機構也有此特性。

