定義
圖1 四桿機構的極位夾角
極位夾角如圖1所示為一曲柄搖桿機構,設曲柄AB為原動件,在其轉動一周的過程中,有兩次與連桿共線,這時搖桿CD分別處於兩極限位置CD和CD。機構所處的這兩個位置稱為極位。機構在兩個位置時,原動件AB所在兩個位置之間的夾角 稱為 極位夾角。
四桿機構
急回運動出現
極位夾角
極位夾角
極位夾角
極位夾角
極位夾角
極位夾角
極位夾角
極位夾角
極位夾角
極位夾角
極位夾角
極位夾角
極位夾角
極位夾角
極位夾角
極位夾角
極位夾角
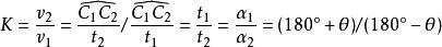
極位夾角如圖1所示,當曲柄以等角速度 順時針轉過 時,搖桿將由位置 擺到 ,其擺角為 ,設所需時間為 , 點的平均速度為 ;當曲柄繼續轉過 時,搖桿又從位置 迴轉到 ,擺角仍然是 ,所需的時間是 , 點的平均速度為 。由於曲柄為等角速度轉動,而 ,所以有 , 。搖桿這種性質的運動稱為 急回運動。
急回運動衡量
極位夾角為了表明急回運動的急回程度,可用行程速度變化係數或稱行程 係數 來衡量,即:
極位夾角
極位夾角
極位夾角
極位夾角上式表明,當機構存在極位夾角 的時候,機構便具有急回運動特性, 角越大, 值越大,機構的急回運動性質也越明顯。
判斷是否存在
判斷機構是否存在急回運動:
極位夾角(1) 無急回運動
極位夾角(2) 有急回運動
工程上的套用
機構的急回特性在工程上有三種套用情況:
(1)工作行程要求慢速前進,以利切削、衝壓等工作的進行,而回程時為節省空間時間,則要求快速扳回,如牛頭刨床、插床等就是如此,這是常見的情況。
(2)對某些顎式破碎機,要求其顎快進慢回,使以被破碎的礦石能及時推出顎板,避免礦石的過粉碎(因破碎後的礦石有一定粒度要求)。
(3)一些設備在正、反行程中均在工作,故無急回運動。某些機載搜尋雷達的搖頭機構就是如此。
機構的設計
極位夾角
極位夾角在設計時,應先明確行程速度變化係數 ,求出 角後,再設計各桿的尺寸。
極位夾角曲柄搖桿機構
按給定的行程速比係數設計
在設計需要有急回特性的四桿機構時,常按實際要求先給定行程速比係數 K,再根據機構在極限位置的幾何關係及有關輔助條件,設計出機構各構件的位置和尺寸。
圖2 按K設計曲柄搖桿機構
極位夾角
極位夾角已知:如圖2所不,搖桿長度CD,搖桿擺角 ,行程速比係數 。求:確定鉸鏈A的位置,並定出A 、BC 、AD 三桿長度。
極位夾角
極位夾角
極位夾角
極位夾角
極位夾角
極位夾角
極位夾角
極位夾角
極位夾角
極位夾角
極位夾角
極位夾角
極位夾角
極位夾角
極位夾角
極位夾角
極位夾角
極位夾角
極位夾角
極位夾角
極位夾角
極位夾角
極位夾角
極位夾角
極位夾角
極位夾角
極位夾角
極位夾角
極位夾角
極位夾角
極位夾角
極位夾角
極位夾角
極位夾角
極位夾角
極位夾角
極位夾角
極位夾角
極位夾角
極位夾角
極位夾角
極位夾角如圖2所示,任選一點 ,由已知 桿長和擺角 畫出其兩極限位置並得到 、 鉸鏈點。連線 再作 。由已知的 代入式 計算出極位夾角 。作 。 與 交於 點。由 三個內角之和為180°可知, 。作 的外接圓,在除 和 外的圓弧上任選一點 作為固定鉸鏈點。連線 和 得夾角 (同一圓周角相等)。因兩極限位置處曲柄 和連桿 共線,故可得 在 的延長線上, 在 線之間。先初取 、 點並使 和 相等。由其幾何關係應得 , ,於是得到曲柄 。再以 為圓心 為半徑作圓,交 的延長線於正式取得的 點,交 線上於正式取得的 點。
因 A點是在外接圓上任取的一點,故此題的結果可有無窮多。如果要取得良好的傳動質量,可再按照最小傳動角最優或其他輔助條件來最終確定 A的位置。
導桿機構
按給定的行程數比設計
圖3 按K設計導桿機構
極位夾角
極位夾角
極位夾角
極位夾角
極位夾角
極位夾角
極位夾角
極位夾角
極位夾角
極位夾角
極位夾角
極位夾角
極位夾角
極位夾角
極位夾角
極位夾角
極位夾角
極位夾角
極位夾角
極位夾角
極位夾角
極位夾角
極位夾角
極位夾角由已知的代人式中計算出極位夾角。在四邊形中,因和恆為直角,故和導桿擺角均與互補,故驢。現任選一點作固定鉸鏈,以擺角作出導桿的兩個極限位置和。作的角平分線,
並取點使等於已知的機架長度。再過點作導桿兩極限位置和的垂線,分別交於、點。於是得到,或即為曲柄的長度。

