簡介
英文名稱:Cochinealcarmine 又名胭脂蟲紅,由雌性胭脂蟲乾體磨細後用水提取而得的紅色色素。主要成分是胭脂蟲酸(又稱胭脂紅酸,是蒽醌衍生物)。可用作酒、水果漿、冷飲等飲料、糖果、糕點以及肉類、香腸等的著色劑,還可用在化妝品中。
別名:胭脂蟲紅提取物Cochinealexfract;Cochinealcarmine;胭脂紅Carmines;胭脂紅酸Cochinealandcarminicacid;C.I.天然紅4號
物化性質
胭脂蟲紅是一種蒽醌衍生物,外觀呈紅色菱形晶體或紅棕色粉末。市場上銷售的胭脂蟲紅產品也有一些是呈深紅色粘稠液體。不溶於冷水,稍溶於熱水或乙醇。能溶於鹼,不溶於稀酸。不溶於乙醚、氯仿、苯。在鹼與稀酸中,色澤隨溶液的pH而變化,酸性時呈橙黃色,中性時呈深紅色,鹼性時呈紫紅色。
胭脂蟲紅
胭脂蟲紅活性成分:
.狀態:紅色菱形晶體或紅棕色粉末。
純度:50%、52%
色價:120,色度(520NM):0.9—1.00
PH值:9.0-10.0
提取方法
胭脂蟲胭脂蟲紅作為一種安全的天然色素的,研究提取胭脂蟲紅色素具有經濟意義和社會意義。
胭脂蟲紅是從寄生在仙人掌類植物上的雌性胭脂蟲體內提取出的色素,由雌性胭脂蟲乾體磨細後用水提取而得的紅色色素。主要成分是胭脂蟲酸(又稱胭脂紅酸,是蒽醌衍生物)。胭脂蟲原產於中南美洲、墨西哥等地。特別是秘魯和加納略群島。估計胭脂蟲紅原料全球總產量大約為250~300噸,僅秘魯就占了200噸。墨西哥人很早就利用野生胭脂蟲提取胭脂蟲紅,並已飼養了數百年,十五世紀西班牙人開始在本土及加那利群島栽種仙人掌飼養胭脂蟲,以提取胭脂蟲紅色素。
1997年,中國農業部成功引種了墨西哥的米邦塔仙人掌,並在北京、海南等地建立了較大規模的生產基地。
崔易等研究了胭脂蟲紅的提取純化工藝,得到了一條以胭脂蟲為原料通過酶解、上柱純化製備胭脂蟲紅色素新工藝,首次將回響面法(RSM)套用於胭脂蟲紅色素的提取工藝中,通過回響面(RSM)方法試驗得到最佳提取條件:提取溫度為77℃,溶劑濃度50%,提取時間1.54h,每次提取液料比為20:l、提取3次。該工藝的提取率可達到17.62%(胭脂紅色素gig胭脂蟲);利用酶解法消除雜蛋白,利用大孔吸附樹脂法富集、純化胭脂蟲紅色素工藝路線。
用途
胭脂蟲紅用途胭脂蟲紅可用作食品、藥品及化妝品著色,特別是漱口劑、牙粉、撒粉、油膏,用於固體粉末劑型著色時,宜先將其溶於小量濃氨液中,然後加至粉末中,經長時間研磨,以期獲得分布均勻的最佳顏色用鋁鹽或錫鹽媒染,可將蠶絲和羊毛染成鮮艷的紅色。可用作食品、化妝品等的色素和滴定氨溶液的指示劑,並用作顯微分析、螢光分析等的試劑。
化妝品
可用於唇膏、粉底、眼影、眼線膏、指甲油及嬰幼兒用品。
醫藥
胭脂蟲紅於製藥行業,用作片劑和微丸的包衣材料以及膠囊殼的著色劑。
食品
胭脂蟲紅也可用於食品中比如糖果、飲品、肉製品的著色。
胭脂蟲紅色素除了著色功能外,有研究表明其對防止因致癌物導致的DNA損傷有明顯的作用,並可用於病毒性疾病(如水皰性口炎、皰疹性口炎等)、癌症和愛滋病的防治。
胭脂蟲紅與黃、橙、紅色素,如薑黃素、胭脂樹橙、辣椒紅、β-胡蘿蔔素混合可調出一系列不同色調的產品。
詳細說明
編號:S0018
中文名稱:蟲紅
規格:FMP
包裝:10克
CAS號:1390-65-4
保存條件:RT,避光
檢測方法
對食品中胭脂蟲紅酸的檢測方法主要有高效液相色譜法、分光光度法、毛細管電泳檢測法和薄層色譜檢測法。高效液相色譜法
高效液相色譜是色譜法的一個重要分支,以液體為流動相,採用高壓輸液系統,將具有不同極性的單一溶劑或不同比例的混合溶劑、緩衝液等流動相泵入裝有固定相的色譜柱,在柱內各成分被分離後,進入檢測器進行檢測,從而實現對試樣的分析[6]。分光光度法
分光光度法是通過測定被測物質在特定波長處或一定波長範圍內光的吸光度或發光強度,對該物質進行定性和定量分析的方法。準確稱取0.15g胭脂紅酸標樣,溶於30ml沸騰的2N的HCl溶液中,保持沸騰30s,冷卻,轉移到100ml的容量瓶中,用水稀釋至刻度。分別取1、2、5、8、10ml於50ml容量瓶中,蒸餾水定容,在分光光度計上,用1cm的比色杯,最大吸收峰494nm測其吸光度,製作標準曲線,同時用0.06NHCl作空白。測定待測樣的胭脂紅酸含量:稱取一定量的待測樣,處理同標準曲線配製一致,在分光光度計上測其吸光度。胭脂紅酸含量的計算公式如下[7]:C(%)=c×100/W
式中,W為樣品的質量,g;c為待測樣的溶液濃度,g/L;C為待測樣品中胭脂紅酸的含量%。
毛細管電泳檢測法
是以彈性石英毛細管為分離通道,以高壓直流電場為驅動力,依據樣品中各組分之間淌度和分配行為上的差異而實現分離的電泳分離分析方法。許元紅建立了胭脂紅酸的毛細管電泳紫外測定方法,以未塗層融矽石英毛細管(1375px×75um)為分離柱。3mmol/L硼砂(PH=8.92)為電泳介質,在分離電壓為20kV,紫外檢測波長為280nm的條件下,以桂皮酸套用於糖果中胭脂紅酸含量的測定,對胭脂蟲紅的主要成分胭脂紅酸進行定量測定,線性範圍為3.92-100mg/L;檢出限(S/N=3)為2mg/L。此方法簡單可行且結果良好[8]。
薄層色譜檢測法
薄層色譜法(TLC),系將適宜的固定相塗布於玻璃板、塑膠或鋁基片上,成一均勻薄層。待點樣、展開後,根據比移值(Rf)與適宜的對照物按同法所得的色譜圖的比移值(Rf)作對比,用以進行藥品的鑑別、雜質檢查或含量測定的方法。薄層色譜法是快速分離和定性分析少量物質的一種很重要的實驗技術,也用於跟蹤反應進程。胭脂蟲紅色素、蟲膠色素和紅花黃色素在鹽酸酸性下,用50%甲醇和正己烷提取,用聚醯胺淨化。茜草色素、紅花紅色素用50%DMF提取,羊羹用50%乙腈提取,用C18柱淨化。薄層板用RP-18F254s和高效纖維素板,用三種展開劑組合,可以把天然色素和合成色素很好分離。本方法的檢出限,果凍魚肉製品乳飲料中胭脂蟲紅5mg/kg。安全狀況
評價
由於“蘇丹紅”事件的廣泛影響,對人工合成色素安全性方面的研究認為,人工合成色素存在不同程度的毒性,對人體身體健康構成潛在威脅,安全的天然色素具有越來越廣泛的套用前景,而胭脂蟲紅作為天然色素的一種,研究認為,其安全性是很高的,無致癌性,無致畸性,LD50>21.5g/kgbw,它是美國唯一允許用於眼部的有機色素,也是惟一一種FDA允許既可用於食品又可用於藥品和化妝品的天然色素,是保持經久不衰的顏料之一,在美國永久性列入食品、藥品和化妝品目錄,並在聯邦法規編號部分免除證書。事件
⒈2012年4月22日,有訊息稱星巴克在美使用一種用胭脂蟲碾碎後製成的紅色染色劑,有可能導致哮喘病人身體不適。對此星巴克表示,胭脂蟲紅“不存在安全或質量問題”,但出於尊重顧客反饋將停止使用;在中國市場銷售的飲品中沒有使用該種添加劑,僅在少部分食品中使用。在美國,草莓星冰樂、草莓甜點是很多人喜歡的星巴克食品,其玫紅的外觀來自一種昆蟲“胭脂蟲”。據相關媒體報導稱,有超過6500人聯名提出抗議,因為“沒人願意在享用喜愛的飲品時吃進磨碎的蟲子,一些哮喘患者也可能因此出現過敏”。星巴克中國表示,沒有在中國市場出售美國報導中提到的產品,沒有在中國出售任何使用胭脂蟲提取物作為著色劑的飲品。即將在華推出的新一季的“星巴克草莓豆奶星冰樂”將會使用舊有配方中的紅色食品添加劑作為著色劑,這一配方完全符合中國的食品質量安全法規與標準。在中國門店中出售的少部分食品里使用了胭脂蟲提取物的著色劑。 ⒉國家質檢總局公布的2013年4月進境不合格食品、化妝品名單中,貝爾芬聖誕節朱古力條、瓢蟲朱古力棒等16款比利時進口朱古力,因違規使用化學物質“胭脂蟲紅”被銷毀。這些不合格進口朱古力都是由BelfineBVBA公司生產、逸駿(上海)商貿有限公司進口 。
同類生物試劑產品:
T0020D-葡萄糖-6-磷酸二鈉鹽/6-磷酸葡萄糖二鈉鹽/6-磷酸葡萄糖酸二鈉鹽/G-6-P-Na2高純,98%1克/5克3671-99-6保存:-20℃
T0021D-葡萄糖-6-磷酸單鈉鹽/β-D-葡萄糖-6-磷酸鈉鹽/6-磷酸葡萄糖鈉鹽/6-磷酸葡萄糖酸一鈉鹽/G-6-P-Na高純,98%250毫克/1克/5克54010-71-82~8℃
T0022D-葡萄糖-1-磷酸二鈉/1-磷酸葡萄糖二鈉鹽/1-磷酸葡萄糖酸二鈉鹽/G-1-P-Na2生物技術級,98%1克150399-99-82~8℃
T00236-磷酸葡萄糖鋇鹽/D-葡萄糖-6磷酸鋇鹽/6-PG-BaBR,90%100毫克/1克921-62-0保存:-20℃
T0024D-氨基葡萄糖鹽酸鹽/葡糖胺鹽酸鹽/葡萄糖胺鹽酸鹽/2-氨基-2-脫氧-D-氨基葡萄糖鹽酸鹽/鹽酸氨基葡萄糖/鹽酸甲殼質/D-GlucosamineHC1BR,98%25克/100克/500克66-84-2RT
T0027N-乙醯-D-氨基葡萄糖/N-乙醯-葡萄糖胺/2-乙醯氨基2-脫氧-D-氨基葡萄糖/N-乙醯氨基葡萄糖/2-(乙醯基氨基)-2-脫氧-D-葡萄糖/D-GlcNAcBR,98%25克/100克/500克7512-17-6RT
T0028D-纖維二糖/纖維二糖/4-O-β-D-吡喃葡萄糖基-D-葡萄糖/D-cellbioseBR,98%5克/25克/100克/500克528-50-7RT
T0029D-阿拉伯糖/D-樹膠醛糖/D-阿糖/D-阿戊糖/D-樹脂醛糖/D-(?)-ArabinoseBR,98%10克/100克/500克10323-20-3RT
T0030L-阿拉伯糖/L-樹膠醛糖/L-阿糖/L-阿戊糖/L(+)ArabinoseBR,98%10克/100克/500克5328-37-0RT
T0030-1D-阿拉伯糖醇/D-樹膠糖醇/D(+)-Arabitol高純,98%;AR25克/100克/500克488-82-4RT
T0032加拿大樹膠/加拿大樹香脂/加拿大樹脂/樅香膠/加拿大樅樹香脂/CanadabalsamBR100毫升8007-47-4RT
T0033烏來糖/氨基甲酸乙酯/尿烷/烏來坦/烏拉坦/Ethylcarbamate高純,98%500克51-79-6RT
T0034D-木糖/木糖/戊醛糖/木質醛糖/五碳醛糖/D-XyloseBR,99%25克/100克/500克58-86-6RT
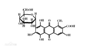
S0018胭脂紅/蟲紅/洋紅/卡紅/胭脂蟲紅/7-β-D-吡喃葡萄糖基-3,5,6,8-四羥
基-1-甲基-9,10-二氧代-蒽-2-羧酸/CarmineFMP10克1390-65-4
RT,避光

