工作原理
圖1 螺鏇泵裝置螺鏇泵的裝置包括原動機、變速傳動裝置和螺鏇泵三部分,如圖1所示,具體是由螺鏇葉片1、泵軸2、軸承座3和外殼4組成的。螺鏇泵傾斜裝在上、下水池之間,螺鏇泵的下端葉片浸入到水面以下。當泵軸鏇轉時,螺鏇葉片將水池中的水推入葉槽,水在螺鏇的鏇轉葉片作用下,沿螺鏇軸一級一級往上提升,直至螺鏇泵的出水口。螺鏇泵只改變流體的位能,它不同於葉片式水泵將機械能轉換為輸送液體的位能和動能。
設計參數
(1)安裝傾角(θ)。安裝傾角指螺鏇泵軸對水平面的夾角。它直接影響泵的效率和流量。據有關資料介紹,傾角每增加一度,效率大約降低3%。一般認為傾角在30°~40°為經濟。
(2)間隙。間隙指螺鏇葉片與外殼之間的間隙。間隙越小,水漏損失就越小,泵的效率就越高。
(3)轉速(n)。螺鏇泵的轉速較慢,一般為20~80 r/min。實驗資料證明:螺鏇泵的外徑較大時,轉速宜減小。
(4)提升高度(H)。螺鏇泵只有提升高度,而沒有壓水高度。它的提升高度一般為3~8 m。
(5)螺鏇葉片直徑(D)。泵的葉片直徑越大,其效率越高,螺鏇泵的葉片直徑與泵軸直徑的最佳比例為2:1。
(6)頭數(Z)。頭數指螺鏇葉片的片數,一般為1~4片。它們相隔一定的間距環繞泵軸螺鏇上升。頭數越多,泵效率也越高。對於一定直徑的螺鏇泵,每增加一個葉片頭數,提升能力約增加20%。
(7)導程和螺距。螺鏇葉片環繞泵軸螺鏇上升360°所經軸向距離,即為一個導程λ。螺距S和導程λ的關係如下:
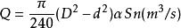
螺桿泵[機械工程學術語](8)流量(Q)和軸功率(N)。流量可按下式計算:
螺桿泵[機械工程學術語]軸功率為
螺桿泵[機械工程學術語]式中:D為葉片外徑(m);d為泵軸直徑(m);S為螺距(m);α為提水斷面率;n為轉速(r/min);η為泵的效率(%);ρ為所提升的液體密度(kg/m³);Q為流量(m³/s);H為提升高度(m)。
特點
與葉片泵相比較,螺鏇泵具有以下優點:
①轉速低(一般為20r/min~90r/min),機械磨損小,不會發生汽蝕。
②流道寬,可以輸送含有固體物的水。
③泵體結構是半開的,可以觀察到泵內的運行情況。
④吸入側流態對水力性能影響甚微,對吸水池無特殊要求,基礎開挖深度小,水工建築物施工簡單,土建費用少。
其缺點是:
①尺寸大,占地面積也大。
②受機械加工條件限制,泵軸不能太長,因而揚程較低,一般不超過10m。
③吸水面、出水面高度變化不能太大,否則會影響工作效率,增加能耗。
分類
螺桿泵按螺桿數量分為。
單螺桿泵——單根螺桿在泵體的內螺紋槽中嚙合轉動的泵。
雙螺桿泵——由兩個螺桿相互嚙合輸送液體的泵。
三螺桿泵——由多個螺桿相互嚙合輸送液體的泵。
單螺桿泵
是一種單螺桿式輸運泵,它的主要工作部件是偏心螺鏇體的螺桿(稱轉子)和內表面呈雙線螺鏇面的螺桿襯套(稱定子)。其工作原理是當電動機帶動泵軸轉動時,螺桿一方面繞本身的軸線鏇轉,另一方面它又沿襯套內表面滾動,於是形成泵的密封腔室。螺桿每轉一周,密封腔內的液體向前推進一個螺距,隨著螺桿的連續轉動,液體螺鏇形方式從一個密封腔壓向另一個密封腔,最後擠出泵體。螺桿泵是一種新型的輸送液體的機械,具有結構簡單、工作安全可靠、使用維修方便、出液連續均勻、壓力穩定等優點。
雙螺和多螺
下面以三螺桿為例。
它主要是由固定在泵體中的襯套(泵缸)以及安插在泵缸中的主動螺桿和與其嚙合的兩根從動螺桿所組成。三根互相嚙合的螺桿,在泵缸內按每個導程形成為一個密封腔,造成吸排口之間的密封。
泵工作時,由於兩從動螺桿與主動螺桿左右對稱嚙合,故作用在主動螺桿上的徑向力完全平衡,主動螺桿不承受彎 曲負荷。從動螺桿所受徑向力沿其整個長度都由泵缸襯套來支承,因此,不需要在外端另設 軸承,基本上也不承受彎曲負荷。在運行中,螺桿外圓表面和 泵缸內壁之間形成的一層油膜,可防止金屬之間的直接接觸,使螺桿齒面的磨損大大減少。
螺桿泵工作時,兩端分別作用著液體的吸排壓力,因此對螺桿要產生軸向推力。對於壓差小於10千克力/cm 的小型泵,可以採用止推軸承。此外,還通過主動螺桿的中央油孔將 高壓油引入各螺桿軸套的底部,從而在螺桿下端產生一個與軸向推力方向相反的平衡推力。
螺桿泵和其它容積泵一樣,當泵的排出口完全封閉時,泵內的壓力就會上升到使泵損壞或使電動機過載的危險程度。所以,在泵的吸排口處,就必須設定安全閥。
螺桿泵的軸封,通常採用機械軸封,並可根據工作壓力的高低採取不同的形式。
常見問題處理
1.泵體劇烈振動或產生噪音:
產生原因:水泵安裝不牢或水泵安裝過高;電機滾珠軸承損壞;水泵主軸彎曲或與電機主軸不同心、不平行等。
處理方法:裝穩水泵或降低水泵的安裝高度;更換電機滾珠軸承;矯正彎曲的水泵主軸或調整好水泵與電機的相對位置。
2.傳動軸或電機軸承過熱:
產生原因:缺少潤滑油或軸承破裂等。
處理方法:加注潤滑油或更換軸承。
3.水泵不出水:
產生原因:泵體和吸水管沒灌滿引水;動水位低於水泵濾水管;吸水管破裂等。
選用及套用
螺桿泵因其有可變數輸送、自吸能力強、可逆轉、能輸送含固體顆粒的液體等特點,在污水處理廠中,廣泛地被使用在輸送水、濕污泥和絮凝劑藥液方面。螺桿泵選用應遵循經濟、合理、可靠的原則。如果在設計選型方面考慮不周,會給以後的使用、管理、維修帶來麻煩,所以選用一台按生產實際需要,合理可靠的螺桿泵既能保證生產順利進行,又可降低修理成本。
一、螺桿泵的轉速選用
螺桿泵的流量與轉速成線性關係,相對於低轉速的螺桿泵,高轉速的螺桿泵雖能增加了流量和揚程,但功率明顯增大,高轉速加速了轉子與定子間的磨耗,必定使螺桿泵過早失效,而且高轉速螺桿泵的定轉子長度很短,極易磨損,因而縮短了螺桿泵的使用壽命。
通過減速機構或無級調速機構來降低轉速,使其轉速保持在每分三百轉以下較為合理的範圍內,與高速運轉的螺桿泵相比,使用壽命能延長几倍。
二、螺桿泵的品質
螺桿泵的種類較多,相對而言,進口的螺桿泵設計合理,材質精良,但價格較高,服務方面有的不到位,配件價格高,訂貨周期長,可能影響生產的正常運行。
國內生產的大都仿製進口產品,產品質量良莠不齊,在選用國內生產的產品時,在考慮其性價比的時候,選用低轉速,長導程,傳動量部件材質優良,額定壽命長的產品。
三、確保雜物不進入泵體
濕污泥中混入的固體雜物會對螺桿泵的橡膠材質定子造成損壞,所以確保雜物不進入泵的腔體是很重要的,很多污水廠在泵前加裝了粉碎機,也有的安裝格柵裝置或濾網,阻擋雜物進入螺桿泵,對於格柵應及時清撈以免造成堵塞。
四、避免斷料
螺桿泵決不允許在斷料的情形下運轉,一經發生,橡膠定子由於乾摩擦,瞬間產生高溫而燒壞,所以,粉碎機完好,格柵暢通是螺桿泵正常運轉的必要條件之一,為此,有些螺桿泵還在泵身上安裝了斷料停機裝置,當發生斷料時,由於螺桿泵其有自吸功能的特性,腔體內會產生真空,真空裝置會使螺桿泵停止運轉。
五、保持恆定的出口壓力
螺桿泵是一種容積式迴轉泵,當出口端受阻以後,壓力會逐漸升高,以至於超過預定的壓力值。此時電機負荷急劇增加。傳動機械相關零件的負載也會超出設計值,嚴重時會發生電機燒毀、傳動零件斷裂。為了避免螺桿泵損壞,一般會在螺桿泵出口處會安裝回油閥,用以穩定出口壓力,保持泵的正常運轉。
![螺桿泵[機械工程學術語] 螺桿泵[機械工程學術語]](/img/9/034/nBnauM3XzYDN3AjM4kDNxMDN0UTMyITNykTO0EDMwAjMwUzL5QzLwgzLt92YucmbvRWdo5Cd0FmL0E2LvoDc0RHa.jpg)
