莫比烏斯反演的引入
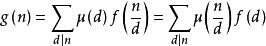
莫比烏斯反演是數論中的重要內容,在許多情況下能夠簡化運算。我們考慮以下求和函式:
莫比烏斯反演
莫比烏斯反演
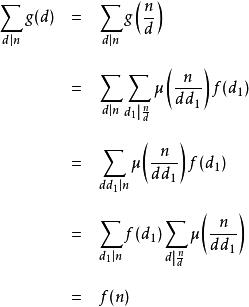
莫比烏斯反演我們需要找到和之間的關係。從和函式定義當中,我們可以知道:
莫比烏斯反演
莫比烏斯反演
莫比烏斯反演
莫比烏斯反演
莫比烏斯反演
莫比烏斯反演
莫比烏斯反演
莫比烏斯反演那么:
莫比烏斯反演
莫比烏斯反演
莫比烏斯反演
莫比烏斯反演
莫比烏斯反演
莫比烏斯反演
莫比烏斯反演
莫比烏斯反演
莫比烏斯反演
莫比烏斯反演
莫比烏斯反演
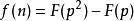
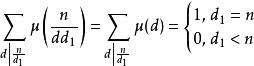
莫比烏斯反演從中,可以看出,若(為質數)那么,,所以,.
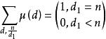
如果我們要讓函式滿足:
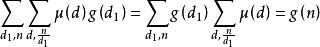
莫比烏斯反演那么通過以上推導,我們可以知道,所以我們作出以下猜測:
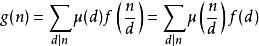
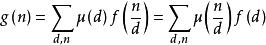
莫比烏斯反演莫比烏斯反演定理
莫比烏斯反演
莫比烏斯反演設 和 是定義在正整數集合上的兩個函式,定義如下。
莫比烏斯反演若函式滿足:
莫比烏斯反演則有
莫比烏斯反演莫比烏斯反演定理證明
充分性證明:
莫比烏斯反演
莫比烏斯反演
莫比烏斯反演
莫比烏斯反演考慮到:
莫比烏斯反演因此
莫比烏斯反演
莫比烏斯反演必要性證明:
莫比烏斯反演
莫比烏斯反演考慮到:
莫比烏斯反演
莫比烏斯反演因此
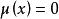
莫比烏斯反演莫比烏斯函式
莫比烏斯反演
莫比烏斯反演定義當時,
莫比烏斯反演
莫比烏斯反演
莫比烏斯反演當(為不同的質數,且次數都為1),
莫比烏斯反演其餘情況
莫比烏斯反演注意, 函式也為積性函式。證明略。
莫比烏斯反演的性質
莫比烏斯反演性質一(莫比烏斯反演公式):
性質二: μ( n)是積性函式
莫比烏斯反演性質三:設f是算術函式,它的和函式 是積性函式,那么 f 也是積性函式。

