定義
這種數學形式,就被稱作“算符”。 也就是說算符是測量/改變的數學形式。 那么這種數學形式就一定是作用在同樣是數學形式的態函式上,例如▽。
對於不同的系統,和不同的系統所可能具備的不同狀態,我們就引入不同的態函式來描繪。 同理,對於不同類型的改變,干涉,測量,我們就引入不同類型的算符。
而在狄拉克表示下(另一種數學化的方法),態函式的樣子是狄拉克括弧,這裡就會引入一套新的針對算符的數學化的方法。
Pauli表示下,系統被數學化為向量,向量化的態函式對應的算符又是什麼呢? 可以想見,就是可以對向量進行操作的矩陣。 所以Pauli表示中算符稱為了矩陣。
數學中的算符
數學中的算符被定義為一個函式集向函式集的映射。如導數算符,微分算符等等。
物理中的算符
物理學中,特別是量子物理常常使用到算符的概念。如動量算符、角動量算符、哈密頓算符、拉格朗日算符等等。下面主要介紹量子物理算符的一些概念:
量子物理學中,算符是一個函式,作用於物理系統的物理態 (physical state),使這個物理態變換為另外一個物理態。 算符可以套用於經典力學的對稱性的研究,是一個非常有用的工具。在量子力學裡,算符概念也是理論表述不可缺少的一部分。
對於量子力學,我們關心的物質世界,為了方便量化,可以簡單的稱之為“系統”。 也就是說需要了解和改變的對象,是系統。 那么如何描述一個系統呢,在這裡,就引入了“態”的概念。 系統的態,從字面上,就是系統所處的狀態。 嚴格上說,“態”就是包含了對於一個系統,我們所有“有可能”了解的信息的總和。 在這個抽象定義的基礎上,為了描繪“態”,引入了“態函式”,用一個函式來代表一個態,到這裡就可以將問題數學化和具體化了。
對於系統的這個態,也就是對於物質的狀態,我們可以做哪些呢? 無非就是了解(也就是測量),和干涉(也就是改變)。 量子力學裡面,了解的過程和干涉的過程其實是同步而不能分割的,這也從某種意義上提供了方便---為了描繪我們如何對系統的態進行了解,或進行改變,我們只需引入一種數學形式就可以了。
這種數學形式,就被稱作“算符”。 也就是說算符是測量/改變的數學形式。 那么這種數學形式就一定是作用在同樣是數學形式的態函式上。
對於不同的系統,和不同的系統所可能具備的不同狀態,我們就引入不同的態函式來描繪。 同理,對於不同類型的改變,干涉,測量,我們就引入不同類型的算符。
所以,當一個操作(測量,改變)被施加在一個系統上,數學上一個算符就作用在了一個態函式上。 毫無疑問,我們希望從這種操作中了解我們究竟如何改變了系統,或者我們希望從測量里得到希望的系統參數。 這時,我們可以觀察數學化以後的算符作用在態函式上得到了什麼?得到的是一個新的態函式,這個新的態函式自然也就代表了我們改變之後的那個系統。
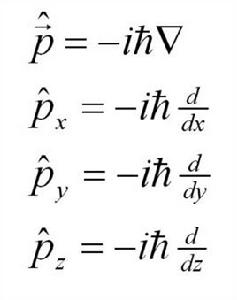
特別的,對於所有“測量”類操作, 我們能夠得到來自系統的反饋。 這種反饋也就是測量的結果。 並非所有操作都能得到可以觀測的結果,而這類能得到可觀結果的操作,也就是測量,其代表的算符也必然具備某種共性,這種共性被成為厄米性,這類算符被稱為厄米算符。 這類算符作用在態函式上,可以得到態函式本徵函式的本徵值——本徵值也就是測量的結果。 舉例來說,動量算符作用於態函式,就得到系統的動量。
再談一點關於具體的數學化過程——在薛丁格表示下(一種數學化的方法),態函式的樣子就是一個正常的連續函式。相對的,算符自然就是可以對函式進行操作的數學符號了---它可以包含微分,積分,加減乘除,取絕對值等等等等。
而在狄拉克表示下(另一種數學化的方法),態函式的樣子是狄拉克括弧,這裡就會引入一套新的針對算符的數學化的方法。
Paoli表示下,系統被數學化為向量,向量化的態函式對應的算符又是什麼呢? 可以想見,就是可以對向量進行操作的矩陣。 所以paoli表示中算符稱為了矩陣。
算符原則
算符代數稍有別於普通的矢量代數。用算符時,必須時刻保持正確的順序,以便使運算構成有適當的意義。凡要求導的東西一定要放在算符的右邊,當算符被完全滿足,那么就不再是算符,而是一個有意義的物理矢量。若放在算符的左邊則仍然是一算符。

