原理
移植法的原理是在各種理論和技術互相之間的轉移。一般是把已成熟的成果轉移、套用到新的領域,用來解決新的問題,因此,它是現有成果在新情境下的延伸、拓展和再創造。
基本方法
移植法的基本方法主要有:
⑴原理移植,即把某一學科中的科學原理套用於解決其它學科中的問題;
例如:電子語音合成技術最初用在賀年卡上,後來就把它用到了倒車提示器上,又有人把它用到了玩具上,出現會哭、會笑、會說話、會唱歌、會奏樂的玩具。它當然還可以用在其他方面。
⑵技術移植,即把某一領域中的技術運用於解決其它領域中的問題。
⑶方法移植,即把某一學科、領域中的方法套用於解決其它學科、領域中的問題;
例如:香港中旅集團有限公司總經理馬志民赴歐洲考察,參觀了融入荷蘭全國景點的“小人國”,回來後就把荷蘭的“小人國”的微縮處理方法移植到深圳,融華夏的自然風光、人文景觀於一爐,集千種風物、萬般錦繡於一園,建成了具有中國特色和現代意味的嶄新名勝“錦繡中華”,開業以來遊人如織,十分紅火。
⑷結構移植,即將某種事物的結構形式或結構特徵,部分地或整體地運用於另外的某種產品的設計與製造;
例如:縫衣服的線移植到手術中,出現了專用的手術線;用在衣服鞋帽上的拉鏈移植到手術中,完全取代用線縫合的傳統技術,“手術拉鏈”比針線縫合快10倍,且不需要拆線,大大減輕了病人的痛苦。
⑸功能移植,即通過設法使某一事物的某種功能也為另一事物所具有而解決某個問題。
⑹材料移植,就是將材料轉用到新的載體上,以產生新的成果。
例如:用紙造房屋,經濟耐用;用塑膠和玻璃纖維取代鋼來製造坦克的外殼,不但減輕了坦克的重量,而且具有避開雷達的隱形功能。
運用要點
在運用移植創新技法時,一般有以下兩種思路:
1.成果推廣型移植。成果推型移植就是把現有科技成果向其他領域鋪展延伸的移植,其關鍵是在搞清現有成果的原理、功能及使用範圍的基礎上,利用發散思維方法尋找新載體。
2.解決問題型移植。就是從研究的問題出發,通過發散思維,找到現有成果,通過移植使問題得到解決。
案例分析
案例:移植法在正弦交流電路中的套用
歐姆定律
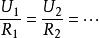
移植法直流電路中,歐姆定律表述為:流過導體的電流與導體兩端的電壓成正比,與導體的電阻成反比。即:
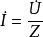
移植法正弦交流電路中,歐姆定律表述為:流過元件的電流相量與元件兩端的電壓相量成正比,與元件的復阻抗成反比。即:
移植法
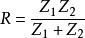
移植法從上面的移植可以看出,只要把直流電路定律、公式中的U、I、R直接用 、 、Z代替,就可以把直流電路中得出的許多結論直接移植到正弦交流電路中並加以套用。以下就列出三個轉變在移植中的其他幾個方面的套用。
基爾霍夫
基爾霍夫定律是電路分析中的最基本的定律,它包括基爾霍夫電流定律和基爾霍夫電壓定律。它的移植見下表。
基爾霍夫定律的移植
| 定律名稱 | 直流電路 | 正弦交流電路 |
| 基爾霍夫電流定律 | 移植法 | 移植法 |
移植法 | 移植法 | |
| 基爾霍夫電壓定律 | 移植法 | 移植法 |
移植法 | 移植法 |
註:A:入;B:出
串聯電路
串聯電路是電路連線的基本方式之一.也是最基本的電路形式。串聯電路公式的移植見下表。
串聯電路公式的移植
| 直流電路 | 正弦交流電路 |
移植法 | 移植法 |
移植法 | 移植法 |
移植法 | 移植法 |
移植法 | 移植法 |
移植法 | 移植法 |
移植法 | 移植法 |
並聯電路
並聯電路是電路的另一種連線方式,並聯電路公式的移植見下表。
並聯電路公式的移植
| 直流電路 | 正弦交流電路 |
移植法 | 移植法 |
移植法 | 移植法 |
移植法 | 移植法 |
移植法 | 移植法 |
移植法 | 移植法 |
移植法 | 移植法 |
移植法 | 移植法 |
電路分析
學生們在學習正弦交流電路之前已經學習了直流電路的多種電路分析方法,如支路電流法、迴路電流法、節點電位法、疊加原理、戴維南定理、諾頓定理等。而這些方法只要通過上述所講的三個轉變就可以將上面的方法直接移植到正弦交流電路的分析中去,這裡就不在贅述。
總之,在講述了交流量的相量表示法及元件的復阻抗基礎之上。再講述上述移植法,學生們會很快學會對交流電路的分析,收到很好的教學效果。

移植法
移植法
移植法
移植法
移植法
移植法
移植法
移植法
移植法
移植法
移植法
移植法
移植法
移植法
移植法
移植法
移植法
移植法
移植法
移植法
移植法
移植法
移植法
移植法
移植法
移植法
移植法
移植法
移植法
移植法
移植法
移植法
移植法
移植法 