基本定義
直角梯形 有一個角是直角的梯形叫做直角梯形 。
面積公式
S=(上底+下底)×高÷2
梯形是上下兩條邊平行的四邊形狀,你按照一個對角線可以把它分成兩個高相同的三角形,三角形面積公式是“底乘以高除以2”,所以梯形就是:“上底乘以高除以2”+“下底乘以高除以2”=“上底加下底乘以高除以2”
另一個公式:“中位線×高”,其中“中位線”是(上底+下底)除以2。
具有特徵
在直角梯形ABCD中,AD//BC,∠B=90°,則∠A=90°,∠C+∠D=180°。
重要性質:
直角梯形斜腰的中點到直角腰的二端點距離相等。
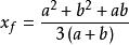
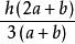
重心公式
設直角梯形上邊長為a,下邊長為b,高為h,則:
直角梯形 1、其重心距離下底邊b的高度為:
直角梯形 2、其重心距離直角邊的距離為:

