定義
直線系是指具有某種共同特徵的直線的集合,表示這個直線系的方程叫做 直線系方程,其特點是在直線方程中含有一個參數。
確定平面上一條直線,需要兩個獨立且相容的幾何條件,如果只給定一個條件,直線的位置不能完全確定。另一方面,如果只給定一個幾何條件時,二元一次方程的兩個獨立的係數中,只有一個被確定,那個未被確定的係數是參數。
利用直線系方程求直線,可以簡化計算過程,欲求適合某兩個幾何條件的直線的方程,可先用其中一個條件寫出直線系方程,再用另一個條件來確定參數值 。
常見的直線系方程
常見的直線系方程有以下幾種:
直線系(1)有共同斜率的直線系方程。如斜率為2的直線系方程為 (b為參數)。
直線系
直線系(2)在 軸上共截距的直線系方程。如截距為3的直線系方程為 (k為參數)。
直線系
直線系
直線系(3)與直線 平行的直線系方程為 ( 為參數)。
直線系
直線系
直線系(4)與直線 垂直的直線系方程為 ( 為參數)。
直線系
直線系
直線系(5)過已知點 的直線系方程為 (k為參數),不含直線 。
直線系
直線系
直線系
直線系(6)過兩直線 及 交點的直線系方程為 ( 是不全為零的實數)。
直線系
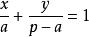
直線系(7)在兩軸上截距之和為定值p的直線系: ( 為參數)。
套用
直線系
直線系例1 給出兩圓 和一點 ,求通過兩圓交點和這點的圓。
解: 不用解聯立方程求出兩圓交點,再求通過三點的圓,這樣做工作量相當大。
凡是通過兩已知圓交點的圓的方程必呈下形式
直線系
直線系要求此圓通過點 得
直線系
直線系所以 代入上式得所求圓
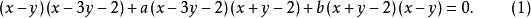
直線系例2 求三角形外接圓的方程,已知三角形三邊的方程為
直線系解: 按通常的解法,先解三個二元一次方程組,以得出三角形三個頂點的坐標;再按三個條件列出一個三元一次方程組並解出所求圓的係數來,才得出所求圓的方程。
有了直線系和曲線系的啟示,這裡設計一個新解法:
對於一切實數a和b,二次曲線
直線系
直線系
直線系
直線系
直線系必通過三邊兩兩交點。這是因為:設 是一個頂點,以 代替 ,它使這裡出現的三個不同的括弧中的兩個為零,因而上式左端三項都為零,可見曲線(1)通過,即通過任一頂點。
進一步要使二次曲線(1)代表圓,二次曲線是圓的充要條件是兩條:
直線系
直線系(1)的係數= 的係數;
直線系(2)的係數=0 。
於是得
直線系所以
直線系代入式(1),乘出得所求外接圓的方程為
直線系
