簡介
病態矩陣是一種特殊矩陣。指條件數很大的非奇異矩陣。病態矩陣的逆和以其為係數矩陣的方程組的界對微小擾動十分敏感,對數值求解會帶來很大困難。
在求解任何反問題的過程中通常會遇到病態矩陣問題,而且病態矩陣問題還未有很好的解決方法,尤其是長方形、大型矩陣。目前主要有Tikhonov、奇異值截斷、奇異值修正、疊代法等方法。
求解方法
求解方程組時對數據的小擾動很敏感的矩陣。
解線性方程組 A x= b時,若對於係數矩陣 A及右端項 b的小擾動 δ A、δ b,方程組 ( A+δ A)χ= b+δ b的解 χ 與原方程組 A x= b的解差別很大,則稱矩陣 A為病態矩陣。方程組的近似解 χ 一般都不可能恰好使剩餘 r= b- Aχ 為零,這時 χ 亦可看作小擾動問題 Aχ= b-r(即δ A=0,δ b=-r) 的解,所以當 A為病態時,即使剩餘很小,仍可能得到一個與真解相差很大的近似解。
判定方法
判定矩陣是否病態以及衡量矩陣的病態程度通常是看矩陣A的條件數 K( A)=‖A-1‖*‖A‖ 的大小,其中 A-1 為矩陣 A 的逆, ‖‖ 表示對矩陣取某一種範數。 K(A) 稱為 A 的條件數,它很大時,稱 A 為病態,否則稱良態; K(A) 愈大, A 的病態程度就愈嚴重。
對小擾動問題 (A+δA)χ=b+δb 與原問題 Ax=b 的解有估計式
病態矩陣
病態矩陣對矩陣求逆亦有估計式從上估計式可以看出條件數對解方程組及矩陣求逆的影響。
病態矩陣
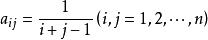
病態矩陣希爾伯特矩陣是一類著名的病態矩陣,其定義為。式中。
由於 H對稱正定,當取 ‖ H‖ 為歐氏範數時, K( H) 即為 H 的最大與最小特徵值之比。對 n=7,8,9,10有 K( H)=4.75×10 ,K(H)=1.53×10 ,K(H)=4.93×10 ,K(H)=1.60×10 。
當 n較大時,有近似表達式 K( H)~e n。在一台相當於 10 位十進制字長的計算機上對希爾伯特矩陣求逆或解方程組時,如 n≥8 ,則所得解答連一位準確數字都沒有。

