成份
甲鈷胺分散片本品活性成份為甲鈷胺
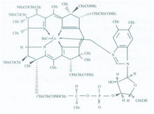
化學名稱:甲鈷胺,α-(5,6-二甲基苯並咪唑基)-Co-甲鈷醯胺。
化學結構式:
分子式:CHCoNOP
分子量:1344.38
用法用量
本品為分散片,可直接口服、吞服,或將本品投入適量溫水中,振搖分散後立即服用。通常成年人一次1片(0.5mg),一日3次。可根據年齡、症狀酌情增減。
不良反應
1. 過敏 偶有皮疹發生(發生率[0.1%),出現後請停止用藥。
2. 其它 偶有(發生率5%~0.1%)食欲不振、噁心、嘔吐、腹瀉。
禁忌
禁用於對甲鈷胺或處方中任何輔料有過敏史的患者。
注意事項
1. 如果服用一個月以上無效,則無需繼續服用。
2. 從事汞及其化合物的工作人員,不宜長期大量服用本品。
3. 本品開封后,應避光、避濕保存。
孕婦及哺乳期婦女用藥
雖然甲鈷胺在動物試驗中未表現致畸作用,但其對懷孕婦女的安全性尚不明確。
尚不明確甲鈷胺是否通過婦女乳汁分泌,但動物試驗報告甲鈷胺有乳汁分泌。本品在哺乳期婦女的安全性尚不明確。
老年用藥
由於老年人機能減退,建議在醫生指導下酌情減少用量。
藥物過量
尚無藥物過量的經驗。如果發生藥物過量,應進行對症、支持治療。
藥理毒理
藥理作用
甲鈷胺是一種內源性的輔酶B12,參與一碳單位循環,在由同型半胱氨酸合成蛋氨酸的轉甲基反應過程中起重要作用。
動物實驗發現,本品比氰鈷胺易於進入神經元細胞器,參與腦細胞和脊髓神經元胸腺嘧啶核苷的合成,促進葉酸的利用和核酸代謝,且促進核酸和蛋白質合成作用較氰鈷胺強;能促進軸突運輸功能和軸突再生,使鏈脲黴素誘導的糖尿病大鼠坐骨神經軸突骨架蛋白的運輸正常化;對藥物引起的神經退變,如阿黴素、丙烯醯胺、長春新鹼引起的小鼠軸突退變及自發高血壓大鼠神經疾病等,具有抑制作用;能使延遲的神經突觸傳遞和神經遞質減少恢復正常,通過提高神經纖維興奮性,恢復終板電位誘導,能使飼以膽鹼缺乏飼料大鼠的腦內乙醯膽鹼恢復到正常水平。體外研究表明,甲鈷胺可促進培養的大鼠組織中卵磷脂的合成和神經元髓鞘形成。
毒理研究
生殖毒性:在大鼠和小鼠致畸敏感期經口給予本品0.2、2.0、20mg/kg/d,胎仔和新生仔中未見異常和致畸徵象。
藥代動力學
1. 一次性給藥
健康人一次口服120μg、1500μg,無論哪個劑量,均在給藥後3 小時達到最高血藥濃度,其吸收呈劑量依賴性。服藥後8小時,尿中總B12的排泄量為用藥後24小時排泄量的40%~80%。
2. 連續給藥
觀察健康人連續12周每天口服1500μg,至停藥後4周的血清中總B12的變化值。給藥4周后其值為給藥前的約2倍,以後逐漸增加,到12周后達約2.8倍,即使中止給藥4周后仍顯示為給藥前的約1.8倍。
包裝
雙鋁包裝,2×10片/板/盒、3×10片/板/盒、4×10片/板/盒。

