藥品簡介
通用名:環磷醯胺片
英文名:CYCLOPHOSPHAMIDE TABLETS
拼音名:HUANLINXIAN'AN PIAN
藥品類別:烷化劑類抗腫瘤藥
性狀:本品為糖衣片,除去糖衣後顯白色。
貯藏:遮光,密封,在30℃以下保存。
主要成分
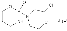
環磷醯胺結構式通用名:環磷醯胺
化學名:P-[N,N-雙(β-氯乙基)]-1-氧-3-氮-2-磷雜環己烷-P-氧化物-水合物
拼音名:HUANLINXIAN'AN
英文名:CYCLOPHOSPHAMIDE
CAS No.:50-18-0
分子式:C7H15Cl2N2O2P·H2O
分子量:279.10
規格:50mg
藥理毒理
本品在體外無活性,進入體內被肝臟或腫瘤記憶體在的過量的磷醯胺酶或磷酸酶水解,變為活化作用型的磷醯胺氮芥而起作用。其作用機制與氮芥相似,與DNA發生交叉聯結,抑制DNA的合成,也可干擾RNA的功能,屬細胞周期非特異性藥物。本品抗瘤譜廣,對多種腫瘤有抑制作用。
藥代動力學
環磷醯胺口服易吸收,迅速分布全身,約1小時後達血漿峰濃度,在肝臟轉化釋出磷醯胺氮芥,其代謝產物約50%與蛋白結合。靜注後血漿半衰期4~6小時, 48小時內經腎臟排出50%~70%,其中68%為代謝產物,32%為原形。
適應症
本品為目前廣泛套用的抗癌藥物,對惡性淋巴瘤、急性或慢性淋巴細胞白血病、多發性骨髓瘤有較好的療效,對乳腺癌、睪丸腫瘤、卵巢癌、肺癌、頭頸部鱗癌、鼻咽癌、神經母細胞瘤、橫紋肌肉瘤及骨肉瘤均有一定的療效。
用法用量
成人常用量:口服每日2~4mg/kg,連用10~14天,休息1~2周重複。兒童常用量:口服每日2~6mg/kg,連用10~14天,休息1~2周重複。
不良反應
骨髓抑制:白細胞減少最常見,最低值在用藥後1~2周,多在2~3周后恢復。對血小板影響較小。可影響肝功。胃腸道反應:包括食慾減退、噁心及嘔吐,一般停藥1~3天即可消失。泌尿道反應:可致出血性膀胱炎,表現為膀胱刺激症狀、少尿、血尿及蛋白尿,系其代謝產物丙烯醛刺激膀胱所致,但環磷醯胺常規劑量套用時,其發生率較低。其他反應尚包括脫髮、口腔炎、中毒性肝炎、皮膚色素沉著、月經紊亂、無精子或精子減少及肺纖維化等。
禁忌症
抗癌藥物,必須在有經驗的專科醫生指導下用藥。凡有骨髓抑制、感染、肝腎功能損害者禁用或慎用。對本品過敏者禁用。妊娠及哺乳期婦女禁用。
注意事項
本品的代謝產物對尿路有刺激性,套用時應鼓勵患者多飲水,大劑量套用時應水化、利尿,同時給予尿路保護劑美司鈉。近年研究顯示,提高藥物劑量強度,能明顯增加療效,當大劑量用藥時,除應密切觀察骨髓功能外,尤其要注意非血液學毒性如心肌炎、中毒性肝炎及肺纖維化等。當肝腎功能損害、骨髓轉移或既往曾接受多程化放療時,環磷醯胺的劑量應減少至治療量的1/2~1/3。由於本品需在肝內活化,因此腔內給藥無直接作用。
用藥
孕婦及哺乳期婦女用藥:有致突變、致畸胎作用,可造成胎兒死亡或先天畸形。妊娠期婦女禁用。本品可在乳汁中排出,在開始用藥時必須中止哺乳。
藥物相互作用
環磷醯胺可使血清中假膽鹼酯酶減少,使血清尿酸水平增高,因此,與抗痛風藥如別嘌呤醇、秋水仙鹼、丙磺舒等同用時,應調整抗痛風藥物的劑量。此外也加強了琥珀膽鹼的神經肌肉阻滯作用,可使呼吸暫停延長。環磷醯胺可抑制膽鹼酯酶活性,因而延長古柯鹼的作用並增加毒性。大劑量巴比妥類、皮質激素類藥物可影響環磷醯胺的代謝,同時套用可增加環磷醯胺的急性毒性。
檢查
酸度:取本品的細粉適量(約相當於環磷醯胺0.25g ),加水20ml,振搖,濾過,濾液加酚酞指示液數滴,用氫氧化鈉滴定液(0.1mol/L)滴定,不得過0.25ml。
其他:應符合片劑項下有關的各項規定。
含量測定
取本品20片,除去糖衣,精密稱定,研細,精密稱取適量(約相當於環磷醯胺0.1g),置100ml量瓶中,加水50ml,超聲處理10分鐘,加水至刻度,搖勻,濾過,精密量取續濾液25ml,置50ml量瓶中,加內標溶液5ml ,加流動相稀釋至刻度,搖勻,照環磷醯胺項下的方法測定。

