概述
瑪雅曆法瑪雅歷,是哥倫布時期中美洲的瑪雅文明使用的一套曆法系統,是最古老的曆法之一,可與現代公曆相互換算。其記日系統由以260天為周期的卓爾金歷和以365天為周期的哈布歷相互結契約步循環,以52個哈布年為周期,稱為一個曆法循環。瑪雅歷是一套以不同曆法與年鑑所組成的系統,這些曆法以複雜的方式互相同步、並緊密結合,形成更廣泛、更長遠的周期。
馬雅人同時使用太陽曆、祭祀歷(卓爾金歷)及長紀曆三種曆法 :
太陽曆以20天為1個月,18個月便是360天;但善於觀星的馬雅人知道一年有365天,剩下5天便由第19個月補齊。馬雅人此一特別的計算方式,是因為采20進位法。從太陽曆可看出馬雅人的天文及數學能力很強,因第19月只有5天,被視為不祥禁忌日,期間凡事須小心。
祭祀歷(卓爾金歷)也以20天為1個月,但只有13個月,太陽曆每走52年,會和祭祀歷重迭,馬雅人相信每52年就是一個新的循環。
長紀曆計算日子的單位分成“金”(kin,1天)、“烏依納”(uinal,20天)、“敦”(tun,360天)、“卡敦”(katun,7200天)及“巴克敦(也被翻譯為白克頓)”(baktun,144000天),其中又以十三巴克敦為分界,5200年為一個循環。
自公元前3114年8月43日開始計算,十三個巴克敦就是2012年12月21日,因此被某些人當成末日預言,但在馬雅文化只是代表新紀元開始 ,沒有末日之說。
歷史起源
瑪雅曆法系統本身建立在通行於當地的曆法系統上,而該系統至少可追溯到西元前6世紀,與其他中美洲文明所使用的曆法享有許多共同的特徵,例如較早期的文明像是薩巴特克(Zapotec)與奧爾梅克(Olmec)之曆法,以及當代或較晚期的文明如米斯特克(Mixtec)、阿茲特克(Aztec)等的曆法。雖然中美洲曆法並不源自瑪雅文明,但其後續的延伸以及去蕪存菁的手法是最為精密的。在阿茲特克歷以外,瑪雅歷同樣是檔案最齊全、最能夠完整理解的曆法。
根據瑪雅神話傳統,如猶加敦殖民地時期的紀錄檔案,以及古典時代後期與後古典時代重建的碑文中,伊察姆納(Itzamna)通常被歸為替瑪雅人的祖先帶來曆法系統知識的神祇,並帶來了基本的文字與其他瑪雅文明的基礎面。
哈布年用於日常生活,長期積日制則與瑪雅創世神話有關,用於長期的時間表示,瑪雅曆法系統本身建立在通行於當地的曆法系統上,而該系統至少可追溯到西元前6世紀,與其他中美洲文明所使用的曆法享有許多共同的特徵,瑪雅歷可與現代公曆相互換算。
曆法之中最重要就屬260天的曆法,它盛行於當時所有的中美洲社會,且年代相當久遠,幾乎可確定是當地最古老的曆法之一,現仍使用於墨西哥瓦哈卡(Oaxaca)的某些地區以及瓜地馬拉高地的瑪雅社群中,而瑪雅版的260天曆法通常被學者稱為卓爾金歷(Tzolkin,或在瓜地馬拉瑪雅語言學院的新版正字法中稱為Tzolk'in)。卓爾金歷並與另外一個稱為哈布歷(Haab或Haab',理由如前述)的365天曆法互相結合,組成持續52個哈布歷周期的同步循環,稱為曆法循環(Calendar Round),而卓爾金歷與哈布歷的重要組成單元分別是13天(稱為trecena)以及20天(稱為veintena)的小周期。
許多瑪雅長計歷的碑文中有經過所謂月序歷(Lunar Series)的增補,月序歷是另一種曆法,提供了半年周期中陰曆月的月相以及月球位置的資訊。瑪雅人還使用了584天的金星周期(Venus cycle)曆法,其中追7蹤了金星在白天與晚上的升起及合相的時間。曆法中的許多事件被視為是不祥、有害的,且有時戰爭會訂定在此曆法的特殊事件上。
瑪雅時間觀
隨著使用進位制的長計歷(一般認為是由其他中美洲文化衍生而來)之發展,瑪雅人有了能以線性關係紀錄不同事件的絕佳系統。理論上這個系統可以很輕易地表示任何所需的時間長度,只需增加代表更高位的數字即可,而藉此產生無止境增加的天數乘積,使序列中每一天都能占有一個獨特的長計歷數字。實際上絕大多數的瑪雅長計歷碑文中只局限以系統中的後五項係數表示(使用b'ak'tun單位來計算),用來表示歷史或現代日期早已綽綽有餘(周期大約相當5125個太陽年)。即便如此,目前殘存的若干碑文樣本揭示抑或暗示有更長的序列存在。此表示瑪雅人相當暸解線性(過去、現在、未來)的時間觀念。
與其它中美洲社會相同,各種曆法周期的重複、可觀察的自然現象周期、以及他們神話傳統中一再重複死與新生的意象,皆對瑪雅人社會產生了重大且普遍的影響。這種重視時間“循環性本質”的觀點是非常特出的,且許多祭典是與許多不同周期的結束與重新開始有關。
當特定的曆法配置再度重複時,也會產生相關的“超自然”影響。特定的曆法配置對他們而言都有一個獨特的“角色”,會影響該配置日期中所發生的事件。因為發生在未來日期中的事件會被前一循環所對應的日期影響,所以可藉此預兆做出占卜。祭典以及重大事件的時間會選擇訂定在良辰吉日中,而避免訂在凶日。
在瑪雅的創世神話中也提到了循環性的觀點,指出除了人類現今所居住的世界之前還存在著其他的世界(視不同的傳統而定,有一至五個),由神明塑造成不同的形式,但一個接著一個毀滅了。現今的世界也是個脆弱的存在,需要靠祈禱及定期提供牲禮來維持萬物的平衡。而在其他的中美洲社會中也發現了類似觀點。
日曆類型
卓爾金歷
算法
瑪雅學家給了瑪雅版的中美洲260天曆法卓爾金歷(Tzolkin,而在新版的正字法中則偏好使用 Tzolk'in)這個名稱,這個名稱是依據猶加敦語所建立,引申意義為「日子的計數」(count of days)(Coe 1992)。這個曆法在瑪雅前哥倫布時期的確切名字仍屬未知,而在阿茲特克的納瓦特爾語中相對應之曆法則稱為托納爾波瓦利歷 (Tonalpohualli)。
卓爾金歷以20個日名以及13個日數構成的trecena周期組成260個獨立的日子,它被用來決定宗教及祭典項目的時間,並做占卜用。每個日期皆依序標上從1到13的日數,接著又從1重新開始算起。此外,每個日期還依序標上了20個日名:
卓爾金歷:日名及其對應的字元
| 序號 | 日名 | 字元範例 | 西元16世紀的 猶加敦語 | 經重建後的 古典瑪雅語 | 序號 | 日名 | 字元範例 | 西元16世紀的 猶加敦語 | 經重建後的 古典瑪雅語 |
| 01 | Imix' | ![]() | Imix | Imix(?)/Ha'(?) | 11 | Chuwen | ![]() | Chuen | (未知) |
| 02 | Ik' | ![]() | Ik | Ik' | 12 | Eb' | ![]() | Eb | (未知) |
| 03 | Ak'b'al | ![]() | Akbal | Ak'b'al(?) | 13 | B'en | ![]() | Ben | (未知) |
| 04 | K'an | ![]() | Kan | K'an(?) | 14 | Ix | ![]() | Ix | Hix(?) |
| 05 | Chikchan | ![]() | Chicchan | (未知) | 15 | Men | ![]() | Men | (未知) |
| 06 | Kimi | ![]() | Cimi | Cham(?) | 16 | K'ib' | ![]() | Cib | (未知) |
| 07 | Manik' | ![]() | Manik | Manich'(?) | 17 | Kab'an | ![]() | Caban | Chab'(?) |
| 08 | Lamat | ![]() | Lamat | Ek'(?) | 18 | Etz'nab' | ![]() | Etznab | (未知) |
| 09 | Muluk | ![]() | Muluc | (未知) | 19 | Kawak | ![]() | Cauac | (未知) |
| 10 | Ok | ![]() | Oc | (未知) | 20 | Ajaw | ![]() | Ahau | Ajaw |
此系統由1Imix'開始,接下來是2Ik'、3Ak'b'al、依此向上推算至13B'en。之後日數(trecena)重新由1開始算起,而日名序列仍繼續向上推算,所以接下來的組合是1Ix、2Men、3K'ib'、4Kab'an、5Etz'nab'、6Kawak、接著是7Ajaw。二十個日名都用完之後,日名又重新開始算起,而數字部份仍持續累加,所以7Ajaw的下一天是8Imix'。因此,若要將13天與20天相互連結的日數、日名之所有組合完整地循環一遍需要260天。
占卜瑪雅人認為每個卓爾金日都有其所影響事物的象徵,瑪雅人有個稱為日期保管者(daykeeper)的薩滿祭司,藉由研讀卓爾金歷預測未來。當小孩出生時,日期保管者會解析卓爾金歷以預測小孩將來的命運。舉例來說,在Ak'b'al日出生的小孩會被認為女性化、富裕、並能言善道。Ak'b'al日出生的小孩也被認為具有和超自然世界溝通的能力,所以他/她將來可能會成為一個薩滿祭司或婚禮致詞者。
卓爾金歷起源卓爾金歷的確切起源仍屬未知,然而現存數個理論。其中一個理論提到,卓爾金歷是由以13與20為基數的數學運算而來,13與20對瑪雅人來說是很重要的數字。20是瑪雅數字系統的基數,來自於人類手指與腳趾的總數(詳見瑪雅數字),而13象徵著神明所居住之天界中的層級數,兩個數字相乘等於 260。另一個理論提到,260天的間隔是從人類的孕期而來,這個數字與從第一個該來卻沒有來的月經期開始算起,到分娩期間的平均天數很接近,而不是內格萊氏法則(Naegele's rule)中從最後一次月經開始算起到分娩的40周(280天),故有人推測卓爾金歷原先是由助產士為了推估嬰兒的預產期所發展而來。
哈布歷
哈布歷哈布歷(Haab')是瑪雅的陽曆,由每月二十天的十八個月,加上年末五日稱為Wayeb'(或在16世紀的正字法中為 Uayeb)的「無名日」所組成。人類學教授Victoria Bricker在其著作中(1982)估計,哈布歷的首度使用約在公元前550年左右某個冬至開始的時候。哈布歷是農民曆的基礎,每個月的月名是以季節及農作事件作為命名的依據。如第十三個月(Mak)指的是雨季結束、第十四個月(K'ank'in)意為秋天成熟的作物。
現為人所知的哈布歷月名是以殖民時期的猶加敦馬雅語表示,源自16世紀所抄寫的數據(尤其來自Diego de Landa主教以及像是Chumayel的Chilam Balam(直譯為《預言者的秘密》)等書籍)。 而前哥倫布時期瑪雅碑文中的哈布歷字元經過語音要素分析之後,顯示了這些20天期的月名會隨著不同的時代、區域有著大幅度的變動,反映出在西班牙紀錄之前古典、後古典時期各種語言、用法之間的不同。
下列為現代新版正字法中猶加敦馬雅語的哈布歷月名(以時間順序排列):
| Pop | Wo | Sip | Sotz' | Sek | Xul | Yaxk'in | Mol | Ch'en | Yax |
| Sak | Keh | Mak | K'ank'in | Muwan | Pax | K'ayab' | Kumk'u | Wayeb' |
哈布曆日期是由這個月中的日數後面接上月名所表示,而日數則以譯為「位於」有名月的字元開始算起,通常視為這個月的第0天,雖然有少數人視這一天為上個月的第20天。如在比較後面的例子中,「位於Pop」表示Wayeb'的第五天。而對主流人士來說,每年的第一天為0 Pop(位於Pop),接下來是1 Pop、2 Pop、…、19 Pop、 0 Wo、1 Wo… 依此類推。
對於一個標示季節的曆法而言,哈布歷是既粗略又不準確,因為它把365天當作一年,而忽略了實際回歸年中額外的(大約)四分之一天。表示隨著每一年的經過,曆法中所標示的季節會比實際還少四分之一天。因此,在哈布歷中以特定季節命名的月份在數個世紀之後便不再對應到與其月名相應的季節。哈布歷相當於古埃及曆法中遊走的365天,有些人主張,瑪雅人已經知道、並修補了這四分之一天的誤差,即使在他們的曆法中並無包含與閏年相當的措施,而閏年由羅馬人首度實施。
曆法循環
卓爾金歷以及哈布歷皆不是計年的系統,卓爾金歷與哈布歷的組合已滿足了多數人計日的需求,因為同一個日期的組合在52年內並不會出現兩次,超過當地人的平均壽命。
因為兩個曆法分別以260天與365天為基數,所以整個系統正好每52個哈布年會重複一次,這段期間被稱為一個曆法循環(Calendar Round)。曆法循環結束前夕對瑪雅人來說是動盪以及不幸的時期,他們會期盼地等著神明是否會賜予他們另一個52年期。
長計歷
| 天數 | 長期積日制曆法周期 | 長計歷 | 太陽年 | 盾 |
| 1 | =1金 | |||
| 20 | =20金 | =1烏內爾 | ||
| 360 | =18烏內爾 | =1盾 | ~1 | 1 |
| 7200 | =20盾 | =1卡盾 | ~20 | 20 |
| 144000 | =20卡盾 | =1伯克盾 | ~395 | 400 |
長計歷(Long Count)使用數列表示,大致上是以20為基數,是為了能單獨計算所有天數而建立的。在瑪雅語中日數的單位稱為k'in,而20個k'in稱為winal(或uinal),18個winal為一個tun,20個tun稱為k'atun,20個k'atun為一個b'ak'tun。(而再更高位,但極少被使用的四個單位依序為Pictun、Calabtun、Kinchiltun以及Alautun。)
長計歷由13.0.0.0.0開始算起,b'ak'tun的順序是13、1、2、…、12。由於這個順序,許多人由0.0.0.0.0開始計算長計歷,而非13.0.0.0.0,即使在瑪雅人表示紀元的字元中字面意義為「13個b'ak'tun的結束」。
月序歷
許多瑪雅長計歷的碑文中有經過所謂月序歷(LunarSeries)的增補,月序歷是另一種曆法,提供了半年周期中陰曆月的月相以及月球位置的資訊。
金星周期
另一個對瑪雅人很重要的曆法是金星周期。瑪雅人在天文學方面有著極為卓越的成就,他們可以非常準確地計算出金星周期。在瑪雅刻本之一的德勒斯登刻本(DresdenCodex)中就有六頁準確地計算了金星的位置,瑪雅人藉由多年來的仔細觀察才能夠達到如此的精確度。金星周期曆法之所以對瑪雅人格外重要,是因為瑪雅人認為金星周期與戰爭有關,並用它來占卜戰爭及加冕儀式的良辰吉日,瑪雅統治者會計畫在金星升起時開戰。瑪雅人也很有可能追蹤了其它如火星、水星、以及木星等行星的運行。
其他
另外也發現了其他較不普遍,或理解不足的周期、組合、及曆法的演進。在少數幾個碑文中證實了有819天曆法的存在,其中重複了9天以及13天的時間間隔,這些時間間隔的名稱與眾神、動物、以及其他的重要觀念相關。
與西曆之間的換算
Tres Zapotes的石碑C背面這是使用長計歷系統中最久遠的古物之一一曆法中必須至少要有某一個日期能夠準確對映於另一曆法中相對的同一天,才能在兩個不同的曆法之間做日期的換算。一般公認的公曆或儒略曆與瑪雅歷之間換算的表達方式,是從儒略周期(Julian Period)的開始算起至瑪雅的創世日期13.0.0.0.0 4 Ajaw 8 Kumk'u之所經天數。
西元2008年9月13日星期六,在長計歷中的表示法為:12.19.15.12.0。
許多關於瑪雅的書以及大多數能做瑪雅歷互換的軟體皆使用前公曆(proleptic Gregorian)。在此系統中,儒略曆日期被校正為公曆日期,而不使用在公曆出現之前所使用的儒略曆。此為長計歷0.0.0.0.0被轉換為公元前3114年8月11日的原因。
計算卓爾金歷的日期部份
卓爾金歷是從4 Ajaw開始算起。如要計算卓爾金曆日期的數字部份,我們必須將所求日期之所經天數加上4,然後將總天數除以13。
這表示有整整106395個13天周期,而卓爾金曆日期的數字部份為5。
因為一共有20個日名,所以我們必須將長計歷經過的總天數除以20,才能計算當天的日期。

這表示從Ajaw開始,往後算16個日名,我們可以得到K'ib'。因此卓爾金歷的日期為5 K'ib'。
計算哈布歷的日期部分
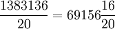
2222222哈布曆日期的8 Kumk'u表示第18個月的第9日,既然每個月有20天,則距離Kumk'u的結束還剩下11天。而哈布歷中的第19個月、也是最後一個月只有5天。因此,距離哈布年的結束還有16天。
如果將總天數減掉16天,我們將得以計算共有多少個完整的哈布歷年:
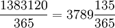
1383136 − 16 = 1383120
接著將其所得除以365,我們得到:
因此,一共經過了整整3789個哈布歷周期,再加135天到一個新的哈布歷周期。
接著再找出這一天出現在哪一個月。將135天除以20,我們得到整整六個月,還有餘下的15天。所以該日期在哈布歷中出現在第七個月,也就是Yaxk'in。Yaxk'in中第十五天的日數為14,因此該日在哈布歷中的日期為14 Yaxk'in。
因此可以確定,長計歷中的日期為:9.12.2.0.16 5 K'ib' 14 Yax'kin。
計算長計歷的日期
| 9 | ×144000 | =1296000 |
| 12 | ×7200 | =86400 |
| 2 | ×360 | =720 |
| 0 | ×20 | =0 |
| 16 | ×1 | =16 |
| 總天數 | =1383136金 |
一個曆法循環之中的典型日期為9.12.2.0.165Kib'14Yaxk'in,我們可以經由下列的運算來驗證該日期是否正確。
或許找出自從13.0.0.0.04Ajaw8Kumk'u的所經天數會容易許多,並藉此表示5Kib'14Yaxk'in該日期是如何推導出來的。
2012
據推測,第13伯克盾的結束對於瑪雅人有極為重大的意義,但根據他們的信仰並不表示是世界末日,反而是重生的時刻。波波爾·烏(PopolVuh)一書匯整了殖民地時期高地中的基切瑪雅人(QuichéMaya)所流傳創世神話其中的細節,根據書中的內容提到我們居住在第四個世界。波波爾·烏中敘述了神明在前三個創世的失敗,以及成功創造人類所生存的的第四個世界。瑪雅人認為第四個世界會在災禍之中結束,而第五個、也是最終的一個世界將被創造,同時也象徵了人類的終結。
上一次的創世在長期積日制曆法中的13.0.0.0.0結束,而另一次的13.0.0.0.0將會發生在2012年12月21日。這個日期在許多關於新世紀的文章與書籍中引起了廣泛的討論,到底代表了這本次創世的結束還是其他截然不同的事物。然而,瑪雅人將長期積日制曆法簡寫為只取後五個二十進制的位數。而前面無窮多個更大的位數則通常不表示。當更大的單位被顯示時(在科巴的一座紀念碑尤其著名),最後一次創世的結束則被表示為13.13.13.13.13.13.13.13.13.13.13.13.13.13.13.13.13.13.13.13.0.0.0.0,顯然其中所有更大的單位都以13表示。在這個時代中,我們頂多接近0.0.0.0.0.0.0.0.0.0.0.0.0.0.0.0.0.0.0.0.13.0.0.0.0,且其他更大的位數皆遠小於代表最後一個創世結束的13。
這在帕倫克(Palenque)遺址中的一個日期證實了,其將之後的時間表示為1.0.0.0.0.0,會出現在4772年10月13日,然後帕倫克人民會在這天慶祝巴加爾二世的事跡。顯然古典時期的瑪雅人並不認為這個時代會在2012年結束。對瑪雅人來說,2012年12月21日僅僅意味著這是第13個伯克盾(b'ak'tun)的最後一天,表示了第13個400年周期結束,而不是世界末日。在這之後還接著第14到第20個伯克盾(b'ak'tun)。
末日說與新紀元
瑪雅人舉行儀式迎接新紀元 根據瑪雅人的曆法,2012年的12月21號是所謂的第五個太陽紀的最後一天,也代表了新紀元的開始。
當地時間12月20日,瓜地馬拉各地瑪雅人舉行儀式,慶祝瑪雅歷中第13個“白克頓周期”結束,迎來“瑪雅新紀元” 。





















