簡要說明
瑞利分布瑞利分布是最常見的用於描述平坦衰落信號接收包絡或獨立多徑分量接受包絡統計時變特性的一種分布類
型。兩個正交高斯噪聲信號之和的包絡服從瑞利分布。
瑞利分布的機率密度:
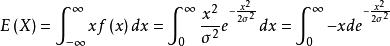
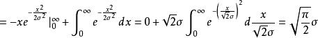
瑞利分布期望
瑞利分布
瑞利分布
瑞利分布
瑞利分布均值方差
瑞利分布
瑞利分布
瑞利分布
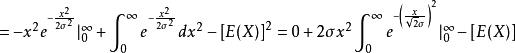
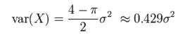
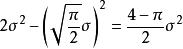
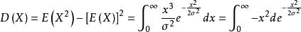
瑞利分布方差
瑞利分布
瑞利分布(Rayleigh Distribution):當一個隨機二維向量的兩個分量呈獨立的、有著相同的方差的常態分配時,這個向量的模呈瑞利分布。
瑞利分布瑞利分布是最常見的用於描述平坦衰落信號接收包絡或獨立多徑分量接受包絡統計時變特性的一種分布類
型。兩個正交高斯噪聲信號之和的包絡服從瑞利分布。
瑞利分布的機率密度:
瑞利分布
瑞利分布
瑞利分布
瑞利分布
瑞利分布均值
瑞利分布
瑞利分布
瑞利分布
瑞利分布方差
瑞利分布瑞利衰落(Rayleigh Fading):在無線通信信道中,由於信號進行多徑傳播達到接收點處的場強來自不同傳播的路徑,各條路徑延時時間是不同的,而各個...
適用環境舉例 模型 套用 如何克服 測試與仿真是世界500強義大利菲亞特汽車集團(FIAT GROUP)成員之一,具有90多年的歷史,瑪涅蒂 馬瑞利是一家總部設在義大利(米蘭Corbetta),是一...
公司簡介 馬瑞利子公司在光學及雷射科學中,瑞利距離或瑞利長度(Rayleigh length)或瑞利範圍(Rayleigh range)是指光束沿著其行進方向,從其腰部到其面...
簡介 說明 相關物理量 相關條目科瑞利亞,是星球大戰中的一個星球。從開始時就是一個在共和國內有強烈獨立意識的星球,該星球上主要分布的人是人類、瑟羅尼亞人和扎爾人。曾多次在聯邦內部發動叛...
自然環境 罕見之處 地位 生活環境 富有的科瑞利亞恆星系瑞利衰落信道(Rayleigh fading channel)是一種無線電信號傳播環境的統計模型。這種模型假設信號通過無線信道之後,其信號幅度是隨機的,...
背景 物理模型 適用範圍 瑞利衰落-如何克服瑞利-金斯公式,是根據經典統計力學導出的輻射公式。瑞利(1900)和J.H.金斯(1905)根據經典統計理論,研究密封空腔中的電磁場,得到了空腔輻射的能...
瑞利-金斯公式 正文 配圖 相關連線w0 λ是波長
鵬瑞利季華廣場公司簡介鵬瑞利中國商用信託是新加坡首家專營中國商用地產開發信託企業。 鵬瑞利中國商用信託的創始人潘錫源先生在零售地產領域擁有20多年的經驗...
鵬瑞利季華廣場