公式
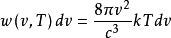
瑞利-金斯公式……(1)
式中k是玻爾茲曼常數,с是真空中光速,T是熱力學溫度。
公式推導
考慮一個體積為V的空腔,腔壁溫度為T,腔內真空,由於腔壁在任何溫度下都輻射電磁波,因此腔內就建立了一電磁場,並且腔壁同電磁場將達到平衡。這個輻射場可以分解為一系列單色平面波的疊加,也可以看作是一個由許多振子組成的系統。
瑞利-金斯公式瑞利和金斯求出在頻率間隔v~v+dv內本徵振動的個數為
其中因子2是由於每一頻率v對應於偏振面互相垂直的兩個波的緣故。
根據經典能量均分定理,每個振動自由度的平均能量為kT,即的平均動能和的平均勢能,
當然每一個平面波也具有kT的平均能量。
所以將式(2)乘以kT,並用體積V除,就得到頻率v~v+dv之間、單位體積的能量表示式,即式(1)。
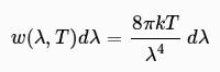
也可將式(1)換為按波長的分布公式
瑞利-金斯公式(3)
遇到困難
瑞利-金斯公式把式(3)表示能量密度w(λ,T)同波長λ的關係曲線及實驗曲線畫在圖中,可以看出,瑞利-金斯公式在長波或高溫情況下,同實驗結果相符,但在短波範圍,能量密度則迅速地單調上升,同實驗結果矛盾。其實,對頻率從0到∞積分式(1),就得到包括所有頻率的能量密度為無窮大的結論,就是說空腔內的平衡輻射場只有當能量密度無窮大時才開始建立,這顯然是荒謬的。
瑞利-金斯公式的這一嚴重缺陷,在物理學史上稱作"紫外災難",它深刻揭露了經典物理的困難,從而對輻射理論和近代物理學的發展起了重要的推動作用。

