背景
瑞利衰落適用的環境舉例如果收到的信號中除了經反射折射散射等來的信號外, 還有從發射機直接到達接收機 (如從衛星直接到達地面接收機)的信號,那么總信號的強度服從分布萊斯, 故稱為萊斯衰落。
一般來說, 多路信號到達接收機的時間有先有後,即有相對時(間)延(遲)。 如果這些相對時延遠小於一個符號的時間, 則可以認為多路信號幾乎是同時到達接收機的。 這種情況下多徑不會造成符號間的干擾。 這種衰落稱為平坦衰落, 因為這種信道的頻率回響在所用的頻段內是平坦的。
相反地, 如果多路信號的相對時延與一個符號的時間相比不可忽略,那么當多路信號迭加時, 不同時間的符號就會重迭在一起,造成符號間的干擾。 這種衰落稱為頻率選擇性衰落, 因為這種信道的頻率回響在所用的頻段內是不平坦的。
至於快衰落和慢衰落, 通常指的是信號相對於一個符號時間而言的變化的快慢。 粗略地說,如果在一個符號的時間裡,變化不大,則認為是慢衰落。 反之, 如果在一個符號的時間裡,有明顯變化,則認為是快衰落。 理論上對何為快何為慢有嚴格的數學定義。
模型
瑞利分布機率密度函式瑞利分布是最常見的用於描述平坦衰落信號接收包絡或獨立多徑分量接受包絡統計時變特性的一種分布類型。兩個正交高斯噪聲信號之和的包絡服從瑞利分布。
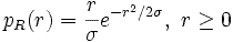
瑞利衰落能有效描述存在能夠大量散射無線電信號的障礙物的無線傳播環境。若傳播環境中存在足夠多的散射,則衝激信號到達接收機後表現為大量統計獨立的隨機變數的疊加,根據中心極限定理,則這一無線信道的衝激回響將是一個高斯過程。如果這一散射信道中不存在主要的信號分量,通常這一條件是指不存在直射信號(LoS),則這一過程的均值為0,且相位服從0 到2π 的均勻分布。即,信道回響的能量或包絡服從瑞利分布。設隨機變數R,於是其機率密度函式如圖所示,其中σ = E(R2)。
瑞利衰落機率密度函式通常將信道增益以等效基帶信號表示,即用一複數表示信道的幅度和相位特性。由此瑞利衰落即可由這一複數表示,它的實部和虛部服從於零均值的獨立同分布高斯過程。
套用
瑞利衰落適應模型瑞利衰落屬於小尺度的衰落效應,它總是疊加於如陰影、衰減等大尺度衰落效應上。
信道衰落的快慢與發射端和接收端的相對運動速度的大小有關。相對運對導致接收信號的都卜勒頻移。圖中所示即為一固定信號通過單徑的瑞利衰落信道後,在1秒內的能量波動,這一瑞利衰落信道的都卜勒頻移最大分別為10Hz和100Hz,在GSM1800MHz的載波頻率上,其相應的移動速度分別為約6千米每小時和60千米每小時。特別需要注意的是信號的“深衰落”現象,此時信號能量的衰減達到數千倍,即30~40分貝。
如何克服
瑞利衰落譜線圖分集技術主要用來對抗信道衰落。相反,MIMO信道中的衰落特性可以提供額外的信息來增加通信中的自由度(degrees of freedom)。從本質上來講,如果每對傳送接收天線之間的衰落是獨立的,那么可以產生多個並行的子信道。如果在這些並行的子信道上傳輸不同的信息流,可以提供傳輸數據速率,這被成為空間復用。需要特別指出的是在高SNR的情況下,傳輸速率是自由度受限的,此時對於m根發射天線n根接收天線,並且天線對之間是獨立均勻分布的瑞利衰落的。
測試與仿真
瑞利衰落的測試在基站發射機和移動 ( 或固定 ) 接收機之間的通信質量取決於多種因素,其中包括信號傳播信道的總體質量。由於空氣吸收作用以及建築物和樹木的反射作用,信號在傳播中的幅度和相位都將產生量值不定的波動。這種現象通常被稱為衰落 (fading),有時稱為多徑衰落 ( 一種特殊類型的衰落 ) ,或者更一般地稱為信道損害 (impairment) 。
由於反射、衍射和局部散射效應,從基站發出的信號可能經不同的路逕到達接收機,因而產生了多徑衰落。不同的路徑具有不同的長度,這使得接收機將在不同的到達時間“看到”該信號幅度不一的多個副本。還有,當被局部實體反射或散射的時候,這個信號會產生相位偏移。隨著接收機的天線在空間中移動,當這些干涉小波在接收機端相互加強或減弱時,接收機將感受到信號強度的高峰和低谷。
目前無線設備設計人員必須在真實信道條件下對其設計進行測試。信道損害可以依靠模仿衰落信道回響的數學模型模擬出來。這些模型使用統計方法來表達當電磁波遇到物理障礙時將發生的變化,包括瑞利衰落、 Rician 衰落和鈴木衰落。
瑞利衰落模型對於設備設計者而言,這意味著在連結預算中必須提供足夠的“衰落裕度”。為了能夠承受 40-50dB 以上的深度衰落,系統必須具有足夠高的信號發射功率或者足夠高的接收機靈敏度。
目前的信道仿真方法是在射頻輸入、射頻輸出的基礎上或在模擬 I/Q 輸入、射頻輸出的基礎上運行的。在這個過程中,首先對將被衰落的信號進行下行轉換或數位化,或兩者都進行。然後把衰落仿真信號加入到數位訊號中,再把其結果上行轉換回射頻信號。這樣,就加入了附帶噪聲的白色高斯噪聲 (AWGN)。由於 AWGN 獨立於任何一個多徑信道回響,故噪聲必須同衰落仿真信號分開。
相關條目
無線通信系統基本概念
| 無線通信系統在上個世紀60年代起,美國軍方創建了世界上第一個無線通信系統的雛形——MCM。它僅僅經過了半個多世紀的發展,便成為了與人民大眾生活密不可分的一部分,無線通信系統究竟有什麼樣的魔力,讓我們能夠從世界的一端和另一端,甚至在遙遠的其他星球自由溝通?現在,就讓我們慢慢揭開它神秘的面紗。 |

