基本內容
適合製作微波積體電路的平面結構傳輸線。與金屬波導相比,其體積小、重量輕、使用頻頻寬、可靠性高和製造成本低等;但損耗稍大,功率容量小。60年代前期,由於微波低損耗介質材料和微波半導體器件的發展,形成了微波積體電路,使微帶線得到廣泛套用,相繼出現了各種類型的微帶線。一般用薄膜工藝製造。介質基片選用介電常數高、微波損耗低的材料。導體應具有導電率高、穩定性好、與基片的粘附性強等特點。
在手機電路中,一條特殊的印刷銅線即構成一個電感微帶線,在一定條件下,我們又稱其為微帶線。一般有兩個方面的作用:一是它把高頻信號能進行較有效地傳輸;二是與其他固體器件如電感、電容等構成一個匹配網路,使信號輸出端與負載很好地匹配。
1.PCB的特性阻抗Z0與PCB設計中布局和走線方式密切相關。影響PCB走線特性阻抗的因素主要有:銅線的寬度和厚度、介質的介電常數和厚度、焊盤的厚度、地線的路徑、周邊的走線等。
2.當印製線上傳輸的信號速度超過100MHz時,必須將印製線看成是帶有寄生電容和電感的傳輸線,而且在高頻下會有趨膚效應和電介質損耗,這些都會影響傳輸線的特徵阻抗。按照傳輸線的結構,可以將它分為微帶線和帶狀線。
在PCB的特性阻抗設計中,微帶線結構是最受歡迎的,因而得到最廣泛的推廣與套用。最常使用的微帶線結構有4種:表面微帶線(surface microstrip)、嵌入式微帶線(embedded microstrip)、帶狀線(stripline)、雙帶線(dual-stripline)。
3.微帶線是位於接地層上由電介質隔開的印製導線,它是一根帶狀導(信號線).與地平面之間用一種電介質隔離開。。印製導線的厚度、寬度、印製導線與地層的距離以及電介質的介電常數決定了微帶線的特性阻抗。如果線的厚度、寬度以及與地平面之間的距離是可控制的,則它的特性阻抗也是可以控制的。單位長度微帶線的傳輸延遲時間,僅僅取決於介電常數而與線的寬度或間隔無關 微帶線
帶狀線是介於兩個接地層之間的印製導線,它是一條置於兩層導電平面之間的電介質中間的銅帶線。它的特性阻抗和印製導線的寬度、厚度、電介質的介電常數以及兩個接層的距離有關。如果線的厚度和寬度、介質的介電常數以及兩層導電平面間的距離是可控的,那么線的特性阻抗也是可控的.單位長度帶狀線的傳輸延遲時間與線的寬度或間距是無關的;僅取決於所用介質的相對介電常數
主要參數
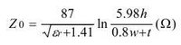
特性阻抗
微帶線的特性阻抗公式微帶線的特性阻抗計算公式如圖。
衰減常數
衰減常數表示微帶的損耗,包括導體損耗、介質損耗和輻射損耗。
導體損耗比介質損耗大,它與導帶的材料、尺寸和表面光潔度等有關。介質損耗取決於基片的介電常數、損耗角正切以及導頻寬度與基片厚度之比(簡稱微帶的寬高比)。輻射損耗也取決於基片的介電常數和微帶的寬高比。微帶線的任何不連續性,尤其是開路端和彎曲都將使輻射增加。把微帶置於金屬封閉殼內的禁止微帶線可避免電磁能輻射。
傳輸延遲
傳輸延遲計算公式固有電容
固有電容計算公式固有電感
固有電感計算公式
