簡介
瑞利距離在光學及雷射科學中, 瑞利距離或 瑞利長度(Rayleigh length)或 瑞利範圍(Rayleigh range)是指光束沿著其行進方向,從其腰部到其面積為腰部面積兩倍的截面的距離,此時截面半徑約為倍的腰部半徑。另一個相關的參數為 共焦參數(confocal parameter) b,恰為瑞利距離的兩倍。當用高斯光束來做為光束模型時,瑞利距離是相當重要的參數。
說明
更多信息:高斯光束
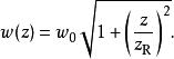
瑞利距離對於在自由空間下,沿著軸前進的高斯光束,其瑞利距離為
瑞利距離
瑞利距離
瑞利距離
瑞利距離其中為波長,為腰部,也就是光束最窄處的軸向大小,上式和以下的公式都假設光束的腰部不是特別的小,滿足的關係。
瑞利距離光束在距腰部距離位置的半徑為
瑞利距離
瑞利距離
瑞利距離
瑞利距離
瑞利距離依定義,的最小值出現在。在距腰部的位置,光束直徑變為腰部的倍,截面積則變為2倍。
相關物理量
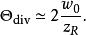
高斯光束以弧度表示的總角度分布,和瑞利距離有以下的關係
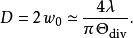
瑞利距離光束在腰部的直徑可以用下式表示
瑞利距離以上公式在近軸近似的條件下有限。若光束的發散程度過於嚴重,無法再適用高斯光束模型,需要用物理光學的分析方式求解。
相關條目
•光束髮散度
•光參量乘積
•高斯函式
•電磁波方程式
•約翰·斯特拉特,第三代瑞利男爵
•羅伯特·斯特拉特,第四代瑞利男爵
•焦深
