簡介
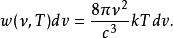
瑞利-金斯定律瑞利-金斯定律是用於計算黑體輻射強度的一個定律。設為輻射的能量密度,k是玻爾茲曼常數,c為真空中的光速,T是熱力學溫度,則
瑞利-金斯定律
瑞利-金斯定律瑞利-金斯定律在波長較長時與實驗相符。但是,在波長較短時,趨向於無窮大,這於實驗數據相違背。
斯特藩-玻爾茲曼定律
斯特藩-玻爾茲曼定律( Stefan-Boltzmann law),又稱 斯特藩定律,是熱力學中的一個著名定律,其內容為: 一個黑體表面單位面積在單位時間內輻射出的總能量(稱為物體的輻射度或能量通量密度) j與黑體本身的熱力學溫度 T(又稱絕對溫度)的四次方成正比,即:
瑞利-金斯定律
瑞利-金斯定律
瑞利-金斯定律其中輻射度 j具有功率密度的量綱(能量/(時間·距離)),國際單位制標準單位為焦耳/(秒·平方米),即瓦特/平方米。絕對溫度 T的標準單位是開爾文,為黑體的輻射係數;若為絕對黑體,則
比例係數σ稱為斯特藩-玻爾茲曼常數或 斯特藩常量。它可由自然界其他已知的基本物理常數算得,因此它不是一個基本物理常數。該常數的值為:
瑞利-金斯定律所以溫度為100 K的絕對黑體表面輻射的能量通量密度為5.67 W/m ,1000 K的黑體為56.7 kW/m ,等等。
斯特藩-玻爾茲曼定律是一個典型的冪次定律。
本定律由斯洛維尼亞物理學家約瑟夫·斯特藩(Jožef Stefan)和奧地利物理學家路德維希·玻爾茲曼分別於1879年和1884年各自獨立提出。提出過程中斯特藩通過的是對實驗數據的歸納總結,玻爾茲曼則是從熱力學理論出發,通過假設用光(電磁波輻射)代替氣體作為熱機的工作介質,最終推導出與斯特藩的歸納結果相同的結論。本定律最早由斯特藩於1879年3月20日以 Über die Beziehung zwischen der Wärmestrahlung und der Temperatur(《論熱輻射與溫度的關係》)為論文題目發表在維也納科學院的大會報告上,這是唯一一個以斯洛維尼亞人的名字命名的物理學定律。
本定律只適用於黑體這類理想輻射源。
參閱
•斯特藩-玻爾茲曼定律
•維恩位移定律

