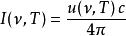
概述
電磁波波長和頻率的關係為
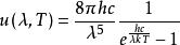
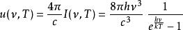
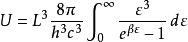
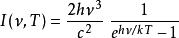
普朗克黑體公式普朗克定律有時寫做能量密度頻譜的形式:
普朗克黑體公式這是指單位頻率在單位體積內的能量,單位是焦耳/(立方米·赫茲)。對全頻域積分可得到與頻率無關的能量密度。一個黑體的輻射場可以被看作是光子氣體,此時的能量密度可由氣體的熱力學參數決定。
能量密度頻譜也可寫成波長的函式
普朗克黑體公式普朗克定律(綠)、維恩近似(藍)和瑞利-金斯定律(紅)在頻域下的比較,可見維恩近似在高頻區域和普朗克定律相符,瑞利-金斯定律在低頻區域和普朗克定律相符。
普朗克黑體公式
普朗克黑體公式馬克斯·普朗克於1900年建立了黑體輻射定律的公式,並於1901年發表。其目的是改進由威廉·維恩提出的維恩近似(至於描述黑體輻射的另一公式:由瑞利勳爵和金斯爵士提出的瑞利-金斯定律,其建立時間要稍晚於普朗克定律。由此可見瑞利-金斯公式所導致的“紫外災變”並不是普朗克建立黑體輻射定律的動機,參見後文敘述)。維恩近似在短波範圍內和實驗數據相當符合,但在長波範圍內偏差較大;而瑞利-金斯公式則正好相反。普朗克得到的公式則在全波段範圍內都和實驗結果符合得相當好。在推導過程中,普朗克考慮將電磁場的能量按照物質中帶電振子的不同振動模式分布。得到普朗克公式的前提假設是這些振子的能量只能取某些基本能量單位的整數倍,這些基本能量單位只與電磁波的頻率 有關,並且和頻率 成正比。
普朗克黑體公式這即是普朗克的能量量子化假說,這一假說的提出比愛因斯坦為解釋光電效應而提出的光子概念還要至少早五年。然而普朗克並沒有像愛因斯坦那樣假設電磁波本身即是具有分立能量的量子化的波束,他認為這種量子化只不過是對於處在封閉區域所形成的腔(也就是構成物質的原子)內的微小振子而言的,用半經典的語言來說就是束縛態必然導出量子化。普朗克沒能為這一量子化假設給出更多的物理解釋,他只是相信這是一種數學上的推導手段,從而能夠使理論和經驗上的實驗數據在全波段範圍內符合。不過最終普朗克的量子化假說和愛因斯坦的光子假說都成為了量子力學的基石。
推導
下面的推導並非普朗克的原始推導(來源),需要用到電動力學、量子力學和統計力學的有關概念 。
普朗克黑體公式
普朗克黑體公式
普朗克黑體公式考慮一個充滿了電磁輻射的邊長為L的立方體:根據經典電動力學,在立方體壁表面的邊界條件為電場的平行分量和磁場的垂直分量都為零。類似於處於束縛態的粒子的波函式,立方體內部的電磁場也是滿足邊界條件的周期性本徵函式的線性疊加,在垂直於立方體壁表面的三個方向上各個本徵函式的波長分別為 , 和
普朗克黑體公式
普朗克黑體公式
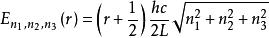
普朗克黑體公式這裡 是非負整數。對於每一組 }值都有兩個線性無關的解(兩種不同的模)。根據量子力學中的諧振子理論,任意模式下的系統能級
普朗克黑體公式(1)
這裡量子數r可看作是立方體中的光子數,而兩種不同模式對應的是光子的兩種偏振態。注意到當光子數為零時能級不為零,這種電磁場的真空能量是一種量子效應,是產生卡西米爾效應的原因。下面我們計算在溫度T下光子數為零時系統處於真空狀態下的內能。
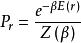
根據統計力學,在特定模式下不同能級的機率分布由下式給出
普朗克黑體公式這裡
普朗克黑體公式
普朗克黑體公式
普朗克黑體公式分母 是系統在特定模式下的配分函式,它能夠使機率分布 歸一化。對正則系綜有
普朗克黑體公式這裡我們定義單個光子的能量為
普朗克黑體公式系統的平均能量和配分函式的關係為
普朗克黑體公式這個公式是玻色-愛因斯坦統計的一個特例。由於光子是玻色子,任一能級對光子的數量沒有限制,系統的化學勢為零。
普朗克黑體公式
普朗克黑體公式
普朗克黑體公式
普朗克黑體公式
普朗克黑體公式
普朗克黑體公式
普朗克黑體公式系統的總能量是平均能量 對所有可能的單光子態求和。考慮在熱力學極限下,立方體邊長L趨於無窮大,這時單光子能量 近似成為連續值,我們將平均能量 對單光子的連續能量積分就可以得到系統的總能量,這就需要我們首先確定在任意給定的能量範圍內具有多少個光子態。假設處於能級 和 的單光子態總數為 (這裡 是所謂光子的能態密度,其具體表達式還需另行計算),則系統的總能量為
普朗克黑體公式(2)
為計算光子能態密度的表達式,我們將(1)式重寫成
普朗克黑體公式
普朗克黑體公式這裡n是矢量的模
普朗克黑體公式
普朗克黑體公式
普朗克黑體公式
普朗克黑體公式
普朗克黑體公式每一個矢量都對應有兩個光子態,換句話說,在給定的一個由矢量 構成的希爾伯特空間中的光子態總數是這個空間體積的2倍。一個微小的能量區間dε對應著這個希爾伯特空間中一個薄球殼的厚度 。由於矢量 的分量不能為負值,能量區間實際上只能對應整個薄球殼總體積的1/8(這是因為矢量有三個分量,每一個分量都為正數時的機率為1/8)。因而在能量區dε}上光子態總數 為
普朗克黑體公式將這個表達式代入(2)式,得到
普朗克黑體公式(3)
普朗克黑體公式注意到L的三次方是立方體體積,因此可直接得到能量密度的表達式,將它寫成頻率的頻譜函式
普朗克黑體公式其中
普朗克黑體公式
普朗克黑體公式這裡 即是黑體輻射的能量頻譜密度,其意義為單位頻率在單位體積內的能量。
如果寫成波長的函式,
普朗克黑體公式其中
普朗克黑體公式這是黑體輻射的能量密度頻譜的另一種形式,其意義為單位波長在單位體積內的能量。在玻色或費米氣體情形下對這一函式積分需要用到多對數函式展開。但這裡可以用初等函式的辦法得到一個近似形式,數學上做代換
普朗克黑體公式積分變數從而可寫成如下形式
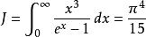
普朗克黑體公式其中{\displaystyle J}的表達式為
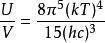
普朗克黑體公式這一積分結果將後文附錄中做說明。因而得到立方體中電磁場的總能量為
普朗克黑體公式其中V=L^3是立方體體積(注意:這個表達式 不是斯特藩-玻爾茲曼定律,它的含義並不是理想黑體在單位時間內從 單位表面積輻射出的總能量,參見斯特藩-玻爾茲曼定律條目)。由於輻射各向同性,並且以光速傳播,能量的輻射率(單位時間單位立體角所對應輻射行進截面積及單位頻率下輻射的能量)為
普朗克黑體公式從而得到普朗克黑體輻射定律
普朗克黑體公式歷史
很多有關量子理論的大眾科普讀物,甚至某些物理學課本,在討論普朗克黑體輻射定律的歷史時都犯了嚴重的錯誤。儘管這些錯誤概念在四十多年前就已經被物理學史的研究者們指出,事實證明它們依然難以被消除。部分原因可能在於,普朗克最初量子化能量的動機並不是能用三言兩語就能夠道清的,這裡面的原因在現代人看來相當複雜,因而不易被外人所理解。丹麥物理學家Helge Kragh曾發表過一篇文章清晰地闡述了這種錯誤是如何發生的。
“紫外災變”:在經典統計理論中,能量均分定理預言黑體輻射的強度在紫外區域會發散至無窮大,這和事實嚴重違背。首先是儘管普朗克給出了量子化的電磁波能量表達式,普朗克並沒有將電磁波量子化,這在他1901年的論文以及這篇論文對他早先文獻的引用中就可以看到。他還在他的著作《熱輻射理論》( Theory of Heat Radiation)中平淡無奇地解釋說量子化公式中的普朗克常數(現代量子力學中的基本常數)只是一個適用於赫茲振盪器的普通常數。真正從理論上提出光量子的第一人是於1905年成功解釋光電效應的愛因斯坦,他假設電磁波本身就帶有量子化的能量,攜帶這些量子化的能量的最小單位叫光量子。1924年薩特延德拉·納特·玻色發展了光子的統計力學,從而在理論上推導了普朗克定律的表達式。
另一錯誤概念是,普朗克發展這一定律的動機並不是試圖解決“紫外災變”。“紫外災變”這一名稱是保羅·埃倫費斯特於1911年提出的,從時間上看這比普朗克定律的提出要晚十年之久。紫外災變是指將經典統計力學的能量均分定理套用於一個空腔中的黑體輻射(又叫做空室輻射或具空腔輻射)時,系統的總能量在紫外區域將變得發散並趨於無窮大,這顯然與實際不符。普朗克本人從未認為能量均分定理永遠成立,從而他根本沒有覺察到在黑體輻射中有任何“災變”存在——不過僅僅過了五年之後,這一問題隨著愛因斯坦、瑞利勳爵和金斯爵士的發現而就變得尖銳起來。

