歷史
瑞利干涉儀
瑞利干涉儀瑞利在1896年發明了一種干涉儀,他想用這架儀器來測量在那時剛發現的二種氣體,氬 (A)和氦(He)的折射率。這種干涉儀既可以用於氣體,也可以用於液體,但是在測量氣體時要用 厘米長的管子,而在測量液體時用 厘米長的管子。
測量氣體折射率的瑞利干涉儀從一個狹縫來的光經準直透鏡後成為平行光,通過兩個管子,在管子中盛有需要比較的兩種氣體。從管子出射的光束再度併合而在一個望遠鏡的焦平面上產生干涉條紋。所以在理論上講,可以將瑞利干涉儀當作一個只有兩個孔的衍射光柵。如果兩個管子中的氣體折射率不相等,那干涉條救就會移向旁邊;這種位移是在望遠築物鏡的焦平面上測量的,測量時最好是和由通討等光程的兩條光束所產生的另一組條紋相比較。
製備原理
瑞利干涉儀
瑞利干涉儀
瑞利干涉儀
瑞利干涉儀
瑞利干涉儀
瑞利干涉儀
瑞利干涉儀如果在楊氏干涉實驗中的狹縫前放一個透鏡使光會聚,如下圖所示.在離透鏡一定距離的屏P上的O點,是光源S成象的位置。由於狹縫 和 的存在,在O點出現干涉條紋,O點是中央干涉極大,相鄰干涉條紋間的距離仍由式 表示,這裡L是狹縫屏到成象屏之間的距離,d是狹縫 和 之間的距離。在 和 兩條光路上,如果介質相同,那末O處是零級干涉極大。
瑞利干涉儀
瑞利干涉儀
瑞利干涉儀如果兩條光路上介質的折射率不相同,從而兩路光程不同零級干涉條紋就不在O點,而移過m個於涉條紋的距離.設 和 兩光路的光程差為 ,則
瑞利干涉儀
瑞利干涉儀
瑞利干涉儀
瑞利干涉儀
瑞利干涉儀是光在真空(或空氣)中的波長。在兩條光路中都放進長度為 的氣室,其中一個氣室中氣體的折射率為 ,另一個氣室中氣體的折射率為 ,則
瑞利干涉儀
瑞利干涉儀
加透鏡聚光的楊氏實驗
瑞利干涉儀
瑞利干涉儀
瑞利干涉儀
瑞利干涉儀
瑞利干涉儀
瑞利干涉儀
瑞利干涉儀
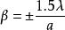
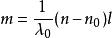
瑞利干涉儀如果已知 和 ,又直接測出 ,從零級條紋的移動 ,可以求出折射率 ,用這種方法測量 和 相差很少的介質折射率 ,是很方便而且相當精確的。 根據上述原理可以製成瑞利干涉儀。
工作原理
瑞利干涉儀
瑞利干涉儀
瑞利干涉儀
瑞利干涉儀
瑞利干涉儀
瑞利干涉儀
瑞利干涉儀
瑞利干涉儀
瑞利干涉儀
瑞利干涉儀
瑞利干涉儀
瑞利干涉儀
瑞利干涉儀
瑞利干涉儀
瑞利干涉儀
瑞利干涉儀
瑞利干涉儀
瑞利干涉儀如圖是瑞利干涉儀結構示意圖。從線光源 發射的光波經準直透鏡 射到兩個光縫 和 上, 和 都平行於線光源 。從 和 出射的光分別通過氣室 和 ,然後被透鏡 會聚,在透鏡焦平面上形成干涉條紋。可以用放大鏡來觀察這些干涉條紋。在放大鏡中還可看到另一組條紋,這組條紋是從 和 發出但通過氣室下面光路的光波干涉而得的條紋(參看側視圖)。由於氣室下面的光路不通過氣室,不受氣室中氣體折射率變化的影響。我們以這一組干涉條紋作為測量基準.在氣室 和 中氣體折射率的微小差別,會造成視場中上面一組干涉條紋的位移。測量出干涉條紋相對於下面一組基準條紋的位移,可以求出 和 中折射率之差。
瑞利干涉儀結構示意圖
瑞利干涉儀
瑞利干涉儀
瑞利干涉儀
瑞利干涉儀
瑞利干涉儀
瑞利干涉儀
瑞利干涉儀
瑞利干涉儀
瑞利干涉儀實際的儀器是在 和 的光路中插入兩片補償玻璃片 和 。 不動, 可繞水平軸轉動,以改變 路上的光程。調節 的角度,可以補償因氣體折射率的變化而引起的光程的變化,結果使視場中上面一組干涉條紋回到原來的位置,和下面一組干涉條紋對齊。 的轉動角度是按照與它相當的條紋移動數定標的,因此可以直接給出折射率改變的數值。雅敏干涉儀的補償片和瑞利干涉儀的補償片作用相同。
相關測量的理論過程
瑞利干涉儀
瑞利干涉儀
瑞利干涉儀
瑞利干涉儀
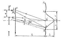
瑞利干涉儀像雅敏干涉儀一樣,瑞利干涉儀主要套用手比較法測量液體和氣體的折射率。它的光路原理(如下圖)與楊氏干涉儀的原理相似。垂直於圖面的狹縫光闌1,安置在準直管物鏡2的焦平面 上。通過狹縫中心的線用 點來表示。由準直管物鏡2射出的平行光束進入觀測管物鏡6,在其前面裝置了一個平行於狹縫1的雙寬縫光闌5。通過這兩個狹縫和物鏡6的光束,在它的焦平面 處,形成兩個相互重合的狹縫1衍射像,其中心為 。在圓柱目鏡7的視場內,可看到狹縫的成像處有細的干涉條紋。
在物鏡2和6之間,放置具有兩個小室3和4的容器,容器兩端用兩塊平面平行保護玻璃封閉。其中一個小室充滿其折射率已知的氣體或液體,而另一個充滿要測定的氣體或溶液。所比較的介質折射率差值,像用雅敏干涉儀一樣,按干涉條紋偏移量進行測定。
在瑞利系統中,也像在楊氏系統中一樣,是由兩狹縫邊緣的衍射光波進行干涉。但是在瑞利系統中,干涉圖樣是頗為明亮的,因為物鏡6能在光闌5的狹縫較寬的情況下保證衍射波迭加。
瑞利干涉儀
瑞利干涉儀
瑞利干涉儀
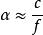
瑞利干涉儀在楊氏系統中,只有在狹縫l的寬度d非常小的情況下,干涉才可能發生。當其條紋對比度為零時,狹縫的臨界寬度是 ,式中 由狹縫射出的干涉光束兩條主光線間的夾角。但 ,式中c由物鏡2射出的兩條主光線之間的距離,而 物鏡的焦距,由此
瑞利干涉儀
瑞利干涉儀以角度值表示的狹縫臨界寬度為:
瑞利干涉儀
瑞利干涉儀
瑞利干涉儀我們用a表示光闌5的每個狹縫的寬度。眾所周知,在平行光束通過狹縫時,衍射光線在垂直於狹縫的平面里產生偏移。在下面衍射極值的強度分布圖中,示出了偏離 角的一支光束。物鏡6(用一條線表示)把此光束會聚於 平面內的A點上。A點的光強決定於角,並用下式表示
衍射極值的強度分布
瑞利干涉儀
瑞利干涉儀
瑞利干涉儀
瑞利干涉儀
瑞利干涉儀
瑞利干涉儀
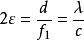
瑞利干涉儀式中 在物鏡軸線( )上 點的強度。從這個公式中可以得到,當 等等時, 。因此,在 的平面內,產生衍射像照度交替變化的最大值和最小值,其寬度與狹縫
瑞利干涉儀寬度a成反比。當 時,產生兩個一級光強最大值,其值只有中心最大值(即零次條紋)的4%。
中心最大值的角寬度(或者兩個一級最小值中心位置之間的角距離)為:
瑞利干涉儀而它的線寬度為:
瑞利干涉儀
瑞利干涉儀
瑞利干涉儀
瑞利干涉儀
瑞利干涉儀
瑞利干涉儀
瑞利干涉儀
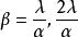
瑞利干涉儀式中 是物鏡6的焦距。兩個一級最小值的中心在下圖中用字母 和 示出。在圖的右邊給出了中心衍射像光強極大值的強度分布曲線。通過光闌5第二個狹縫來的光束,也產生同樣的狹縫1的衍射圖樣,這兩個像相互疊加在一起。在下麵條紋分布的圖中,水平軸表示所給場點X坐標與衍射極值半寬度r的比值,而垂直軸表示在該點的強度 與強度 的比值, 為極值在中央位置的強度。曲線1示出了一個狹縫像的強度分布。當有兩個狹縫像時,曲線2表示其強度分布(假設不存在干涉)。由於干涉的結果,能量將重新分布,並產生干涉條紋(曲線3)。尤如所指出的,條紋寬度b與干涉光線之間夾角 成反比:
瑞利干涉儀而條紋的角寬度
瑞利干涉儀
瑞利干涉儀
瑞利干涉儀由式和 得出結論:要得到對比度好的干涉圖樣,光源的角尺寸應該明顯地小於條紋的角寬度。
在衍射極大值上的干涉條紋