基本原理
具有固定相位差的兩列準單色波的疊加將導致振幅發生變化, 從而可以通過測量較容易測量的振幅來獲取波的相位信息。
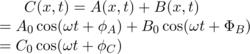
兩列具有同頻率波之振動在一點處可以用如下公式描述
干涉儀那么這兩列波疊加以後的波的振動為
干涉儀三角運算給出其中疊加後的振幅為
干涉儀可以看到, 疊加後的振幅與兩列波的初始相位差有關。 由於幅度變化依賴於相位差的餘弦函式, 這種幅度的變化有時候在空間表現為周期性的條紋。 這種條紋有時候叫做干涉條紋, 由於相位差變化引起的幅度變化有時也稱為條紋移動。
分類
干涉儀的分類有不同分法
按照結構區分
干涉儀可以分為單路徑干涉儀和多路徑干涉儀兩類, 其差異在於干涉的波是否通過同一路徑傳播。 例如麥可遜干涉儀就是常見的多路徑干涉儀, 而Sagnac干涉儀, 等傾干涉和等厚干涉等即為單路徑干涉儀(鍾錫華, 陳熙謀, 2002) 。
按照干涉光來源區分
干涉儀可以分成波前分解和幅度分解兩類, 其差異在於是否利用波前上不同位置的子波源形成干涉。 例如楊氏雙縫干涉即屬於波前分解干涉儀(鍾錫華, 陳熙謀, 2002) ; 而等傾干涉和等厚干涉即為幅度分解干涉儀。
套用
干涉儀的套用極為廣泛,主要有如下幾方面:
長度測量
在雙光束干涉儀中,若介質折射率均勻且保持恆定,則干涉條紋的移動是由兩相干光幾何路程之差發生變化所造成,根據條紋的移動數可進行長度的精確比較或絕對測量。邁克耳孫干涉儀和法布里-珀羅干涉儀曾被用來以鎘紅譜線的波長表示國際米。
折射率測定
兩光束的幾何路程保持不變,介質折射率變化也可導致光程差的改變,從而引起條紋移動。瑞利干涉儀就是通過條紋移動來對摺射率進行相對測量的典型干涉儀。套用於風洞的馬赫-秦特干涉儀被用來對氣流折射率的變化進行實時觀察。
波長的測量
任何一個以波長為單位測量標準米尺的方法也就是以標準米尺為單位來測量波長的方法。以國際米為標準,利用干涉儀可精確測定光波波長。法布里-珀羅干涉儀(標準具)曾被用來確定波長的初級標準(鎘紅譜線波長)和幾個次級波長標準,從而通過比較法確定其他光譜線的波長。
檢驗光學元件
泰曼干涉儀被普遍用來檢驗平板、稜鏡和透鏡等光學元件的質量。在泰曼干涉儀的一個光路中放置待檢查的平板或稜鏡,平板或稜鏡的折射率或幾何尺寸的任何不均勻性必將反映到干涉圖樣上。若在光路中放置透鏡,可根據干涉圖樣了解由透鏡造成的波面畸變,從而評估透鏡的波像差。
引力波測量
干涉儀也可以用於引力波探測(Saulson, 1994) 。 雷射干涉儀引力波探測器的概念是前蘇聯科學家Gertsenshtein和Pustovoit在1962年提出的(Gertsenshtein和Pustovoit 1962) 。 1969年美國科學家Weiss和Forward則分別在1969年即於麻省理工和休斯實驗室建造初步的試驗系統(Weiss 1972) 。 截止今日,雷射干涉儀引力波探測器已經發展了40餘年。 目前LIGO雷射干涉儀實驗宣稱首次直接測量到了引力波 (LIGO collaboration 2016) 。 LIGO可以認為是兩路光線的干涉儀, 而另外一類引力波探測實驗, 脈衝星測時陣列則可認為是多路光線干涉儀(Hellings 和Downs, 1983) 。
其他
用作高解析度光譜儀。法布里-珀羅干涉儀等多光束干涉儀具有很尖銳的干涉極大,因而有極高的光譜解析度,常用作光譜的精細結構和超精細結構分析。
歷史上的作用。19世紀的波動論者認為光波或電磁波必須在彈性介質中才得以傳播,這種假想的彈性介質稱為以太。人們做了一系列實驗來驗證以太的存在並探求其屬性。以干涉原理為基礎的實驗最為精確,其中最有名的是菲佐實驗和邁克耳孫-莫雷實驗。1851年,A.H.L.菲佐用特別設計的干涉儀做了關於運動介質中的光速的實驗,以驗明運動介質是否曳引以太。1887年,A.A.邁克耳孫和E.W.莫雷合作利用邁克耳孫干涉儀試圖檢測地球相對絕對靜止的以太的運動。對以太的研究為A.愛因斯坦的狹義相對論提供了佐證。

