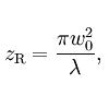
Rayleigh length(瑞利長度)
在光學,特別是雷射學中,我們設鞍腰部(如圖中所示的最低處)為A,其橫截面為a,沿光的傳播方向,當橫截面因為散射達到2a時,我們設此處為B,瑞利長度或者瑞利射程正是指從A到B的長度(即圖中所示ZR)。相關參數是共軛焦距,b,其長度是兩倍的瑞利長度。當光波按高斯模型傳播的時候,瑞利長度則顯得非常重要。


w(z) 是光波在Z方向的半徑。
w0 是鞍部半徑
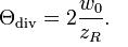
Θ角展度
λ是波長
w(z)在最小值出現在w(0) = w0 處
在瑞利長度處,光波半徑增加了1.414倍,面積增加了2倍。
高斯分布的角展度和瑞利分布的關係是:


