概念
瑞利商疊代法
瑞利商疊代法
瑞利商疊代法
瑞利商疊代法
瑞利商疊代法
瑞利商疊代法
瑞利商疊代法
瑞利商疊代法
瑞利商疊代法
瑞利商疊代法
瑞利商疊代法
瑞利商疊代法
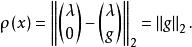
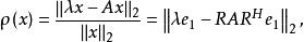
瑞利商疊代法瑞利商疊代法(Rayleigh quotient iteration method)是一種用瑞利商作位移的反冪法。反冪法的收斂性和冪法本身一樣是線性的。不像冪法之處是只要充分接近,反冪法的收斂性係數可以任意小。對這一點的觀察導致在中當收斂到一特徵向量時,每步疊代均選取特徵值的“最佳猜測”,自適應地改變參數的概念。這樣,瑞利商疊代法與反冪法不同之處,在於每一疊代步,在中用瑞利商代替。我們用規範化的的殘量的長度來度量向量滿足特徵向量條件的偏差。具體地說,準則是
瑞利商疊代法瑞利商疊代法值得注意的是,按我們現在形式上敘述的誤差,收斂性是平方的,甚至是立方的(三階的)。
基本原理
瑞利商疊代法
瑞利商疊代法
瑞利商疊代法
瑞利商疊代法
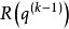
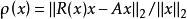
瑞利商疊代法定理:設是按瑞利商疊代法構成的,並假定在每步疊代,對某確定的,滿足,若以表示殘量的長度,即
瑞利商疊代法
瑞利商疊代法
瑞利商疊代法則對於某常數和,
瑞利商疊代法
瑞利商疊代法
瑞利商疊代法
瑞利商疊代法
瑞利商疊代法
瑞利商疊代法
瑞利商疊代法
瑞利商疊代法證明:設表示一個特徵向量的估計值,假定,且實部,這裡是的第一個分量,設是變換使
瑞利商疊代法
瑞利商疊代法
瑞利商疊代法可分解為,類似於下面的分塊結論是正確的:
瑞利商疊代法
瑞利商疊代法
瑞利商疊代法
瑞利商疊代法
瑞利商疊代法
瑞利商疊代法式中顯然是對的瑞利商,且是維向量。
瑞利商疊代法
瑞利商疊代法利用酋陣的性質,得到若按的定義則
瑞利商疊代法
瑞利商疊代法鑒於,得到誤差的關係式
瑞利商疊代法
瑞利商疊代法
瑞利商疊代法設是由瑞利商疊代決定的,它是向量的非規範化的後繼向量,即設
瑞利商疊代法再利用酋陣的性質,求得
瑞利商疊代法
瑞利商疊代法
瑞利商疊代法
瑞利商疊代法式中,以左乘得到
瑞利商疊代法
瑞利商疊代法與比較,得到結論
瑞利商疊代法
