簡介
在衝擊波的波陣面上,媒質狀態和運動參數的連續性發生間斷。衝擊波是超聲速的,其傳播速度大於未擾動媒質中的聲速,並與波的強度有關,即強度越高,速度越快。此外,衝擊波還會引起媒質沿振動陣面傳播方向移動。衝擊波在傳播過程中,部分能量轉變為波陣內媒質的熱能,聲波因而衰減。其衰減量要比正常線性聲波的衰減量大。經過一定距離後,非線性大振幅聲波便衰減為線性小振幅聲波,此時其傳播速度變成正常的聲速而不再是超聲速了。波的峰值壓力約為174分貝(0.1大氣壓)。
理論
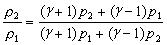
公式爆炸噪聲在非線性階段的理論,即衝擊波的基本理論,在19世紀後期已由萊曼、蘭金和雨貢紐特等人建立。雖然媒質狀態和運動參數的連續性在衝擊波陣面上發生間斷,但氣體質點在運動中是可以穿過間斷面的,因為波陣面運動速度並不同於氣體媒質本身的運動速度。在波陣面上,質量守恆定律、動量守恆定律和能量守恆定律仍應滿足。也就是說,物質流、能流和衝量流在波陣面上必須是連續的,再加上物態方程,就可以根據未擾動媒質狀態參數而求出表征波陣面另一邊受擾動媒質的狀態和運動參數。對於一維的理想氣體,則可得到著名的蘭金-雨貢紐特方程:
公式
公式式中ρ1、 p1和ρ2、 p2分別為波陣面前後的媒質密度和壓力; γ為氣體媒質比熱比。如果波陣面速度以 V來表示,則可將(1)式變換為:而波陣面後面的氣流速度 v為:由(2)、(3)兩式可以看到,當爆炸噪聲的壓力擾動很小,即( p2- p1)2/p娝<<1時,則V趨近於聲速c,而v趨近於零,此時則變為通常的線性小振幅聲波。
典型
典型的爆炸噪聲波形如圖。對於這樣一種非周期性的脈衝噪聲,一般測量時多用壓力峰值和脈衝寬度表示。脈衝噪聲的標準就是用這兩個參量表示的。一般爆炸噪聲的持續時間極短,不宜用聲級計的快慢擋來測量,因為即使是快擋,其時間常數也有200毫秒。脈衝聲級計具有保持峰值的特性,可以直接表示脈衝峰值。它的脈衝擋時間常數較短,為35毫秒,能夠更好地回響於脈衝噪聲。 爆炸噪聲一般有很高的壓力峰值,因此容易造成聽覺器官損傷或使整個聽覺器官遭到破壞,須注意防護。

