氣體動力學
正文
流體動力學的重要分支,主要研究密度有較大變化
的氣體的流動,包括各種管道和透平機械通道中高速氣體的流動,物體在大氣中的高速運動,爆炸、快速關閉閥門或物體在氣體中突然加速引起的流體流動等。氣體動力學考慮流體熱力狀態的變化,所以與熱力學有密切的聯繫。 聲速 彈性介質中微小擾動的傳播速度。氣體動力學研究的彈性介質就是可壓縮流體。聲速反映擾動傳播過程中流體壓力對密度的變化率。擾動傳播過程是定熵過程(見熱力過程、熵)。因此,聲速

為密度,下角標s表示定熵過程。 對於常比熱容理想氣體

馬赫數、馬赫錐、馬赫角 當地流速(空間某點的流速)與聲速的比值稱為馬赫數Μa。Μa>1的流動稱為超聲速流,Μa<1的流動稱為亞聲速流。超聲速流與亞聲速流中的擾動傳播有本質的差別。圖中A為擾動源,若氣體沒有流動(即速度v=0),則擾動以A為中心,Cτ為半徑的球面波傳播,τ為時間。若氣體以勻速v向右流動,則球面波中心以氣流速度v前進。這時,對於亞聲速流(Μa<1)τ秒後擾動的影響區在對A點偏心的球面內,擾動向各個方向傳播,經足夠長時間後可達到流場中任何地方;但對於超聲速流(ΜaA為頂點的圓錐傳播,這一圓錐稱為馬赫錐,錐角
稱為馬赫角。
氣體動力學氣體在截面積緩慢變化的管道內作定常定熵流動時,截面積變化與速度變化的關係式為

變截面管道內通過的質量流量qm=
vA,式中
v為管道單位面積上通過的質量流量,稱為密流。聲速截面處截面積最小,密流最大。這時單靠降低噴管下游壓力(即背壓)已不能增大流量,這種現象稱為堵塞,堵塞時噴管中的流量稱為堵塞流量。 滯止參數 對於流場中任一具有速度的流體質點,假想它定常定熵地滯止到速度為零時,該質點的熱力狀態參數稱為該點的滯止參數,又稱駐點參數,用下角標“0”表示。
定常定熵流動中,滯止參數沿流線保持不變,激波前後滯止溫度相同,但激波後滯止壓力下降。
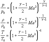
定熵關係式 常比熱理想氣體作定常定熵流動時,其熱力狀態參數對滯止參數的比值與馬赫數的關係。其表達式為

激波 流場中壓力和密度突然增大的間斷面(見激波)。
參考書目
李普曼等著,時愛民等譯:《氣體動力學基礎》,機械工業出版社,北京,1982。(H.W.Liepmann and A.Roshko, Elements of Gas Dynamics,John Wiley and Sons,New York,1957.)

