衝擊波的傳播
衝擊波相對於它前面的未擾動空氣來說是一個具有很陡的壓強、很高的密度和質點速度以及溫度變化的突變鋒面,這個鋒面稱為衝擊波陣面。它以超聲速傳播,並在傳播過程中逐漸衰減為聲脈衝,最後消失。距爆心一定距離處的衝擊波壓強隨時間變化的理想波形如圖1所示。在t1時刻衝擊波到達某點,該點壓強和質點速度都突然升高到最大值。波陣面後超過未擾動大氣壓p0的這部分壓強稱為超壓Δp,陣面上最大超壓稱為超壓峰值Δp;以一定速度運動的空氣衝擊物體產生的單向壓力稱為動壓q,峰值為q,單位為千克力/厘米。隨著衝擊波逐漸掃過該處,超壓和質點速度(動壓)逐漸降低,在t時刻,正相過程結束(正相的持續時間為τ),此時超壓Δp=0,超壓和質點速度均恢復到未受擾動時大氣的相應值。緊接著負相開始,此時波陣面後空氣的壓強低於未擾動大氣壓,二者之差稱為負壓。負壓的最大值為Δp-;質點的運動方向同衝擊波運動方向相反。在t3時刻,負相結束(負相持續時間為τ),大氣恢復到未擾動時的狀態。圖1所示的波形也是物體受到衝擊波作用的全過程。衝擊波的殺傷和破壞作用主要由超壓、動壓的大小和持續時間長短來決定,或用超壓衝量I表征,I定義為 ,即為波形中正相區的面積(圖1中陰影部分)。
圖1 衝擊波壓強隨時間變化的理想波形p未擾動大氣壓
自由大氣中的傳播規律
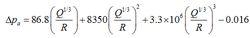
實踐表明,點源和球源爆炸理論可以分別描述核爆炸和具有一定體積的炸藥爆炸的衝擊波傳播規律。量綱理論分析和大量實測結果表明,不同藥量的爆炸遵循幾何相似律:在同一種介質中兩個藥量分別為Q、Q的爆炸,在不同距離R、R上超壓相同的條件是比例距離相等,即 R/Q=RQ。由此可得超壓僅為比例距離的函式,即 Δp=f(R/Q)。描述衝擊波的其他參量(衝擊波速度、質點速度等)亦遵循類似的關係式。根據球形TNT裝藥的大量實驗,得出比例距離滿足R/Q≤76米/(千噸)時衝擊波陣面上超壓峰值的經驗公式:
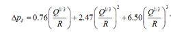
空中爆炸式中Q的單位為千克TNT當量,R的單位為米。對於核爆炸,如果比例距離滿足 76米/(千噸)<R/Q<860米/(千噸),則
空中爆炸式中Q的單位為千噸TNT當量,R的單位為米。對於爆源置於地面的爆炸,必須考慮地面的作用,可將上式中的Q乘以2,便得到超壓隨距離的分布。波陣面上其他參量皆可由此求出。
影響因素
衝擊波傳播時,受到地形、地物、地面性質和大氣條件等因素的影響。核爆炸時,由於光輻射的作用時間長,強度大,地表溫度顯著升高,使地面的有機物燃燒,某些礦物質揮發,結晶水蒸發,從而使得地面上方形成含有大量塵埃、溫度急劇升高的熱空氣層。衝擊波經過熱空氣層時,它的影響表現為衝擊波超壓峰值降低,動壓明顯增大,而且波形由陡峭(圖1)變為隨時間逐漸上升,即達到超壓峰值需要一定的時間。熱空氣層影響主要發生在距爆心在地面投影點的距離約等於爆炸高度的範圍內。衝擊波在傳播中遇到山丘、凹地等地形和地物時發生繞流,影響它的超壓和動壓。例如對於山丘,衝擊波爬坡時超壓略有增加,下坡時則略有減小。對於地物,迎衝擊波一面超壓增加,背面和距背後一定的範圍內超壓、動壓都有所降低。衝擊波減弱到超壓小於 0.1大氣壓(1大氣壓等於101325帕)時,便成為弱衝擊波。大氣溫度和風向、風速隨高度的分布都會影響弱衝擊波的傳播。
弱衝擊波聚焦
弱衝擊波可以近似地看成聲波,其徑跡就是聲線。聲波傳播速度等於介質聲速和風速的代數和(合成聲速)。如果因為大氣中溫度和風速的分布不均勻,而使合成聲速隨高度遞減(圖2a中高度不低於12公里的情況),則聲線向上彎折(圖2b);如果這種不均勻使合成聲速隨高度遞增(圖2a中高度z大於 12公里而小於50公里的情況),則聲線向下彎折(圖2b)。在適宜的大氣條件下,從爆心向上延伸的聲線在一定高度上向下彎折和其他聲線匯聚,造成特定區域內弱衝擊波超壓增大,最大可增加到近百倍,這個區域稱為聚焦區。在聚焦區以外一定範圍內,弱衝擊波超壓減弱,甚至聽不到爆炸聲響,這個區域稱為寂靜區。聚焦現象可分為兩類:① 8~18公里處存在西風急流層,風速達50~60米/秒,從地面到西風急流層高度若有適當大氣條件配合時,就會造成弱衝擊波在爆心東部約100公里以內的區域聚焦,此即西風急流引起的聚焦;②由於在約20~55公里高空存在逆溫層(在55公里附近出現合成聲速的最大值),因此,弱衝擊波在200~300公里範圍內發生聚焦。由於在約20~60公里上高空風在冬季盛行西風,夏季盛行東風,所以冬季聚焦區主要在爆心東部,夏季主要在爆心西部。聚焦現象不僅發生在地面,也發生在空中,儘管超壓不大,但對空中飛機是個威脅。
圖2 合成聲速和聲線隨高度的分布地面的反射
衝擊波傳到地面會發生反射,可把地面當作剛壁。反射的性質決定於入射波的強度和入射角(圖3)。在衝擊波垂直入射的情況下,波後氣流突然被阻止並形成反射衝擊波(即在爆心投影點的正碰反射)。反射波在入射波後的氣體中運動。正碰反射的反射波波強比入射波波強大得多。例如,入射超壓小於20千克力/厘米,經正碰反射後增大到2~8倍; 如入射超壓大於20千克力/厘米2,反射超壓增大得更多。在衝擊波斜入射情況下,波後氣流被迫沿地面運動,亦必產生反射波。在 入射角由0°增加到某個極限值(稱為臨界角)前,僅產生單一的反射波,它的強度和反射角決定於入射波強度和入射角,這種反射稱為規則反射。當入射角超過臨界角(對於空氣中的強衝擊波,臨界角為39°14′)時, 產生一個波面與地面垂直的合成波和一個與地面有一定夾角(反射角)的反射波,這兩個波與入射波匯聚於一點,稱為三波點(圖3),這種性質的反射稱為非規則反射或稱馬赫反射。可以認為,當入射角大於臨界角時,反射波不斷趕上入射波並部分地和它會合成為合成波。隨著入射角增大,會合的部分也增大,三波點愈向上方運動,合成波也就愈高。入射波足夠強時,反射波同入射波完全重合,即三波點運動到爆心上方,這種反射稱為半球反射。例如地面爆炸所形成的半球面衝擊波就可以看作是半球反射的結果。
圖3 衝擊波地面反射示意圖I 入射波 II 反射波 III 合成波
根據爆炸高度的大小,大體可將爆區地面分成三個反射區:距爆心在地面投影點的距離小於爆炸高度的區域為規則反射區;大於該高度為非規則反射區;數倍高度以外為半球反射區。
衝擊載荷
衝擊波經過物體時發生繞流,物體的各個面上都受到不同的衝擊載荷。衝擊載荷不僅同衝擊波的超壓、動壓和持續時間等有關,還同物體的大小、形狀、結構和相對於衝擊波的方位有關。對於不同物體須作具體的分析和實驗。就一立方形密封物體而言,衝擊波遇到正面時發生反射,反射壓力為入射超壓的2~8倍。然後衝擊波繞流立方體,反射壓力很快衰減為滯止壓力,即入射超壓與動壓的代數和。作用於頂面和兩側的壓力峰值等於入射超壓。當衝擊波到達背面時,產生繞射,壓力經過一定時間到達峰值。因為正、背兩面的載荷大小和作用時間不同,載荷的差值就是物體在水平方向上受到的淨載荷,可能推動或拋擲物體。如果衝擊載荷超過物體所能承受的壓力,物體便遭到破壞。
殺傷和破壞作用
物體在衝擊波的作用下同時承受超壓載荷和動壓載荷。一般說來,物體是在這兩種載荷的作用下破壞的。但對於不同形狀的物體,兩種載荷所起的破壞作用不同。通常有兩種情況:①對於圓柱形和球形目標(如煙囪、坦克等)起主要破壞作用的是動壓載荷;②對於箱形體(如房屋、汽車)起主要破壞作用的是超壓載荷。對於人的殺傷,兩者都起作用,但動壓造成的傷情要嚴重些。對於人,0.2~0.4千克力/厘米的超壓就會造成輕度的衝擊損傷,如耳膜破裂或穿孔,體表擦傷等;大於1千克力/厘米超壓會使人當場死亡。物體的破壞程度一般可分為嚴重、中等和輕微三類。使不同物體受不同程度破壞的超壓值見表。
使不同物體受到不同程度破壞的衝擊波超壓值*
(單位:千克力/厘米)
| 目 標 | 嚴重破壞 | 中等破壞 | 輕微破壞 |
| 磚砌低層樓房 | 0.25~0.35(2~1.7) | 0.15~0.25(3~2) | 0.07~0.15(5.5~3) |
| 磚木混凝土低層樓房 | ≥0.4(≈1.4) | 0.18~0.4(2.8~1.4) | 0.04~0.18(7~2.8) |
| 汽 車 | 1~1.4(≈0.6) | 0.61~1.0(≈0.9) | 0.21~0.42(≈1.6) |
*括弧內數字是2萬噸當量空中爆炸的破壞半徑(公里)。
參考書目
Φ.A.鮑姆,K.JI.斯達紐柯維奇,B.N.謝赫捷爾著,眾智譯:《爆炸物理學》,科學出版社,北京,1964。
S.Glasstone and P.J.Dolan,The Effects of Nuclear Weapons,3rd ed,U.S.Department of Defense and Energy Research and Development Administration,1977.

