簡介
成像原理正文
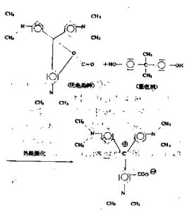
熱敏成像材料(thermosensitiveimagingmaterial) 受熱後能顯示出清晰顏色的成像材料,是將染料隱色體和顯色劑一起分散在水溶性或油溶性粘合劑中,再塗於支持體上而成。所用的染料隱色體為內酯結構或三芳基甲烷染料,如結晶紫內酯、孔雀綠內酯和無色母體結晶紫及20世紀70年代發展的熒烷染料等。顯色劑為雙酚A等,受熱後,顯色劑釋放出氫質子,使染料內酯環斷裂或形成醌式結構而顯出顏色。熱敏成像材料通常用於心電圖儀、台式電子計算機或電傳真等的記錄紙。
製作方案
1.利用物理變化的方案
化學反應過程這一類中最為人熟知的是日本旭化成公司、美國KPG公司和德國愛克發公司最初推出的利用相變化原理的熱敏CTP版材。這類版材在紅外雷射掃描、發熱之前成像樹脂層一般設計為親水性的,當紅外雷射掃描、發熱之後掃描部分由於發熱升溫到一定溫度導致成像阻溶物發生相變化,由親水轉變為親油,把曝光後的版材固定在印刷機的印輥上,掃描部分著墨,未掃描部分著水,可直接印刷得到印品。最近的專利公開了一個引人注目的親水轉變為親油的方案,它是在處理過的鋁版基上塗敷一層親水層,其中含有熱融性高分子微粒。這些微粒的熱融熔溫度一般在50℃以上,常用的是一些聚乙烯、聚氯乙烯和聚苯乙烯等疏水性微粒,將其製成粒徑在0.05—2μm之間,重均分子量在5,000-1,000,000之間的粒子分散於親水層中。紅外雷射掃描時這些粒子融熔形成疏水區。
2.基於化學變化的方案
①在基材上塗一熱分解層,其中含有有機金屬微粒作為光熱轉化物質,紅外掃描後由於熱分解而使這一部分物質極性增強,變得親水。
②一些帶有羧基的高分子用某些高酸解活性的物質保護起來,與紅外染料、光產酸源等一起塗布於鋁版基上,形成親油樹脂層,當紅外雷射掃描、發熱、產酸後該區域樹脂的保護基脫掉,由親油變為親水。
③側鏈上帶有羧基同時又帶有羥基或胺基或環氧基等易於與羧基發生反應的官能團的高分子是高度親水的,當它們與紅外染料及光產酸源一起組成感熱組成物塗敷於鋁版基上時形成一親水層。經紅外雷射掃描發熱產酸後羧基與羥基或羧基與環氧基發生酯化反應,可發生由親水一親油的變化。而羧基與胺基則發生醯胺化反應或醯亞胺化反應,也可能由親水變為親油。
④在高度親水性的聚乙烯醇中溶入親水性的光熱產酸源並均勻地分散入光熱轉化物質構成親水層,當紅外雷射掃描時光熱轉化物質吸收紅外線發熱引起產酸源分解產酸,聚乙烯醇脫水變為親油性的多烯烴,可製得無處理熱敏版材。
⑤利用金屬氧化物分散於高分子中,待紅外雷射掃描發熱後金屬氧化物與高分子發生某種化學反應實現親水親油的轉變。
成像原理
A.熱敏材料的製備:將記錄光信息的光敏物質和起成色作用無色染料包裹於微膠囊內,將顯色劑與微膠囊單元同置於支持體上製成用於列印的光熱敏材料列印紙;
B.潛影標識:使用與光敏物質波長匹配的光照射步驟A的列印紙時,接受到光照的位置按照接受光強大小發生不同程度的內部固化,記錄光信息形成“潛影”;
C.顯影:整體均勻地加熱步驟B的列印紙使微膠囊外顯色劑進入囊內接觸到染料前體,發生顯色反應,形成圖像,顯現出先前的“潛影”信息,形成影像。
主要用途
套用1.用於醫療診斷裝置.刪量分析儀器儀表的終端印表機i
2.用於電子計算機終端輸出的熱印表機
3.用於銷售點(ositionofSales,POS)的熱敏標籤列印條碼和貨品卡,
4.用於傳真機及其他傳真裝置。
當前,LDTP的主要用途還在於傳真通訊上。把文字圖象通過電話系統轉換成一系列的掃描線輸送出去.或者把電視畫象通過電纜系統輸送出去,是非常方便、快捷和準確。
