定義
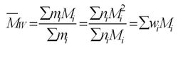
重均分子量(Weight-average Molecular Weight):所有合成高分子化合物的分子量以及大多數天然高分子化合物的分子量都是不均一的,它們是分子量不同的同系物的混合物。聚合物中用不同分子量的分子重量平均的統計平均分子量。 , Wi :相應的分子所占的重量分數。
重均分子量與門尼粘度密切相關,因此常以門尼粘度的高低來顯示出彈性體分子量的大小。
測定方法
測定方法有光散射法、超速離心沉降速度法以及凝膠色譜法等。
重均分子量mi是分子質量 Mi是相對分子質量 ni 應該指的是分子數 wi是質量分數

