描述
大氣的動力學過程和熱力學過程是相互聯繫、相互制約的,熱力學第一定律也是套用於大氣運動的基本定律,它給出了系統狀態改變與熱量交換之間的關係。熱力學第一定律可表述為:物質體積元中內能和動能隨時間的變化率,等於外源的加熱率與外界對該物質體積元所做的功率之和。它的數學表達式即為熱力學方程,又稱“熱流量方程”。
方程
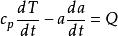
由普遍的能量守恆定律推導(推導過程可參考《動力氣象學》 )可得熱力學方程為
熱力學方程式中, T, p分別為溫度和氣壓; Q為外源對每單位質量空氣的加熱率; t為時間; c為乾空氣比定容熱容,值為717焦耳每千克開爾文(J·K ·kg ); a為比容; ε為斯托克斯耗散函式,表示分子黏性對動能的耗散率。
該方程表明:空氣微團每單位質量的內能隨時間的變化率,等於外源的加熱率、分子黏性對動能的耗散率和壓縮功率之和。
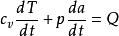
一般情況下分子黏性對動能的耗散率遠遠小於壓縮功率,在動力氣象學中常將其略去,於是常用的熱力學方程的形式為
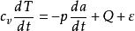
熱力學方程或將上式求全導數之後的形式為
熱力學方程其中 c為乾空氣比定壓熱容,值為1000焦耳每千克開爾文(J·K ·kg )。
熱力學方程規定了熱交換與微團狀態改變之間的關係,而且對於理解大氣動力過程與熱力過程之間相互聯繫、相互制約的辯證關係也十分重要。熱力學方程左邊第二項表示了壓力對單位質量空氣的做功率,因此它代表了熱能和機械能之間的轉換,說明太陽熱能可以驅動大氣運動。
