研究內容
工程熱力學工程熱力學是熱力學的一個分支,主要從工程技術的角度研究熱能和機械能相互轉化的規律。飛行器上所用的各種類型動力裝置都是將熱能轉變為機械能的熱機。工程熱力學是研究熱機的重要理論基礎,使熱機更有效地將熱能轉變為機械能。熱機中熱能和機械能的相互轉化必須通過某種工質(工作介質)的作用才能實現。描寫工質巨觀狀態的參數稱為狀態參數,例如壓力(P)、溫度(T)、比容(V)等。任何氣體給定兩個狀態參數以後,其他狀態參數即可確定。
工質狀態連續變化的過程稱為熱力過程。如果熱力過程逆向進行後能使工質回復到初始狀態,而不留下變化的痕跡,這樣的熱力過程稱為可逆過程。實際過程逆向進行後都會留下變化的痕跡,都是不可逆的過程。工質的狀態經一系列變化後又回復到初始狀態的過程,稱為循環過程,簡稱循環。
發動機理想循環 飛行器使用的發動機主要有活塞式航空發動機,燃氣渦輪發動機和化學推進劑火箭發動機等類型。在研究發動機循環時,通常忽略一些實際存在的次要因素,假定循環是可逆的,且工質是理想的,其成分不變,這種循環稱為理想循環。通過對各種發動機理想循環的分析,可以對比各種發動機的熱力性能並尋求提高發動機熱效率的途徑。熱效率表示熱能在熱機中轉變為機械能的程度。
活塞式航空發動機理想循環 汽油和空氣所組成的混合氣首先進入汽缸,被活塞壓縮後點火燃燒,形成高溫高壓燃氣,這一燃燒過程的時間很短,可理想化為等容加熱。高溫高壓燃氣膨脹,推動活塞對外做功,最後將廢氣排入大氣。上述實際工作過程經理想化後得到活塞式航空發動機的等容加熱理想循環。為絕熱壓縮過程,2-3為等容加熱過程,3-4為絕熱膨脹過程,4-1為等容放熱過程,這一理想循環的熱效率為:
工程熱力學
工程熱力學式中ε為壓縮比(v1/v2);k為定壓比熱與定容比熱的比值(Cp/Cv)。
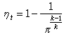
工程熱力學燃氣渦輪發動機理想循環 空氣從進氣道進入壓氣機,被壓縮後進入燃燒室,與燃料混合在接近等壓情況下燃燒而形成高溫燃氣,然後通過渦輪膨脹做功,最後通過噴管繼續膨脹至外界大氣壓。理想化後的燃氣渦輪發動機的等壓加熱理想循環可用P-V圖(圖2 )來表示,圖中0-1為進氣道中絕熱壓縮過程,1-2為壓氣機中絕熱壓縮過程,2-3為燃燒室中等壓加熱過程,3-4為渦輪中絕熱膨脹過程,4-5為噴管中絕熱膨脹過程,5-0為大氣中等壓排熱過程。這一理想循環的熱效率為:
工程熱力學π為增壓比(P2/P0) 或膨脹比(P3/P5)。
工程熱力學化學推進劑火箭發動機理想循環 推進劑在燃燒室中燃燒形成高溫高壓燃氣(圖3a),然後通過噴管膨脹,以高速噴出而產生反作用推力。化學推進劑火箭發動機的理想循環見圖3b。由於推進劑的比容V與空氣比容相比小得可以忽略,故0-2在P-V圖上與縱坐標重合。2-3為燃燒室中等壓燃燒過程,3-5為噴管中絕熱膨脹過程,5-0為對外界等壓排熱過程。這一理想循環的熱效率為:
工程熱力學式中π為噴管中的膨脹比(P3/P5)。
從以上三種發動機的理想循環熱效率公式可以看出,熱效率隨著增壓比或膨脹比數值的增加而增加。提高發動機熱效率的途徑是儘可能地提高發動機循環的絕熱壓縮過程的增壓比或絕熱膨脹過程的膨脹比。為了達到這個目的,必須首先提高高溫熱源的溫度。
基本內容
工程熱力學
熱力學是研究熱現象中,物質系統在平衡時的性質和建立能量的平衡關係,以及狀態發生變化時,系統與外界相互作用的學科。
工程熱力學的主要任務
熱力學是通過對熱力系統、熱力平衡、熱力狀態、熱力過程、熱力循環和工質的分析研究,改進和完善熱力發動機、制冷機和熱泵的工作循環,提高熱能利用率和熱功轉換效率工程熱力學書籍。
為此,必須以熱力學基本定律為依據,探討各種熱力過程的特性;研究氣體和液體的熱物理性質,以及蒸發和凝結等相變規律;研究工質特性也是分析某些類型制冷機所必需的。現代工程熱力學還包括諸如燃燒等化學反應過程,溶解吸收或解吸等物理化學過程,這就又涉及化學熱力學方面的基本知識。
工程熱力學是熱力學最先發展的一個分支,它主要研究熱能與機械能和其他能量之間相互轉換的規律及其套用,是機械工程的重要基礎學科之一。
工程熱力學的基本任務是:通過對熱力系統、熱力平衡、熱力狀態、熱力過程、熱力循環和工質的分析研究,改進和完善熱力發動機、制冷機和熱泵的工作循環,提高熱能利用率和熱功轉換效率。
為此,必須以熱力學基本定律為依據,探討各種熱力過程的特性;研究氣體和液體的熱物理性質,以及蒸發和凝結等相變規律;研究溶液特性也是分析某些類型制冷機所必需的。現代工程熱力學還包括諸如燃燒等化學反應過程,溶解吸收或解吸等物理化學過程,這就又涉及化學熱力學方面的基本知識。
工程熱力學研究的內容
工程熱力學是關於熱現象的巨觀理論,研究的方法是巨觀的,它以歸納無數事實所得到的熱力學第一定律、熱力學第二定律和熱力學第三定律作為推理的基礎,通過物質的壓力 、溫度、比容等巨觀參數和受熱、冷卻、膨脹、收縮等整體行為,對巨觀現象和熱力過程進行研究。
這種方法,把與物質內部結構有關的具體性質,當作巨觀真實存在的物性數據予以肯定,不需要對物質的微觀結構作任何假設,所以分析推理的結果具有高度的可靠性,而且條理清楚。這是它的獨特優點。
古代人類早就學會了取火和用火,不過後來才注意探究熱、冷現象的實質。但直到17世紀末,人們還不能正確區分溫度和熱量這兩個基本概念的本質。在當時流行的“熱質說”統治下,人們誤認為物體的溫度高是由於儲存的“熱質”數量多。1709~1714年華氏溫標和1742~1745年攝氏溫標的建立,才使測溫有了公認的標準。隨後又發展了量熱技術,為科學地觀測熱現象提供了測試手段,使熱學走上了近代實驗科學的道路。
1798年,朗福德觀察到用鑽頭鑽炮筒時,消耗機械功的結果使鑽頭和筒身都升溫。1799年,英國人戴維用兩塊冰相互摩擦致使表面融化,這顯然無法由“熱質說”得到解釋。1842年,邁爾提出了能量守恆理論,認定熱是能的一種形式,可與機械能互相轉化,並且從空氣的定壓比熱容與定容比熱容之差計算出熱功當量。
英國物理學家焦耳於1840年建立電熱當量的概念,1842年以後用不同方式實測了熱功當量。1850年,焦耳的實驗結果已使科學界徹底拋棄了“熱質說”。公認能量守恆、能的形式可以互換的熱力學第一定律為客觀的自然規律。能量單位焦耳就是以他的名字命名的。
熱力學的形成與當時的生產實踐迫切要求尋找合理的大型、高效熱機有關。1824年,法國人卡諾提出著名的卡諾定理,指明工作在給定溫度範圍的熱機所能達到的效率極限,這實質上已經建立起熱力學第二定律。但受“熱質說”的影響,他的證明方法還有錯誤。1848年,英國工程師開爾文根據卡諾定理制定了熱力學溫標。1850年和1851年,德國的克勞修斯和開爾文先後提出了熱力學第二定律,並在此基礎上重新證明了卡諾定理。
1850~1854年,克勞修斯根據卡諾定理提出並發展了熵的概念。熱力學第一定律和第二定律的確認,對於兩類“永動機”的不可能實現作出了科學的最後結論,正式形成了熱現象的巨觀理論熱力學。同時也形成了“工程熱力學”這門技術科學,它成為研究熱機工作原理的理論基礎,使內燃機、汽輪機、燃氣輪機和噴氣推進機等相繼取得迅速進展。
與此同時,在套用熱力學理論研究物質性質的過程中,還發展了熱力學的數學理論,找到了反映物質各種性質的相應的熱力學函式,研究了物質在相變、化學反應和溶液特性方面所遵循的各種規律 。1906年,德國的能斯脫在觀察低溫現象和化學反應中發現熱定理;1912年,這個定理被修改成熱力學第三定律的表述形式。
二十世紀初以來,對超高壓、超高溫水蒸汽等物性,和極低溫度的研究不斷獲得新成果。隨著對能源問題的重視,人們對與節能有關的複合循環、新型的複合工質的研究發生了很大興趣。
熱力學是研究熱現象中,物質系統在平衡時的性質和建立能量的平衡關係,以及狀態發生變化時,系統與外界相互作用的學科。 工程熱力學是熱力學最先發展的一個分支,它主要研究熱能與機械能和其他能量之間相互轉換的規律及其套用,是機械工程的重要基礎學科之一。
工程熱力學的定義:闡明和研究能量、能量轉換,主要是熱能與其他形式的能量間的轉換的規律,及其與物質性質之間關係的工程套用學科
1、工程熱力學的基本任務
通過對熱力系統、熱力平衡、熱力狀態、熱力過程、熱力循環和工質的分析研究,改進和完善熱力發動機、制冷機和熱泵的工作循環,提高熱能利用率和熱功轉換效率 工程熱力學書籍。
為此,必須以熱力學基本定律為依據,探討各種熱力過程的特性;研究氣體和液體的熱物理性質,以及蒸發和凝結等相變規律;研究溶液特性也是分析某些類型制冷機所必需的。現代工程熱力學還包括諸如燃燒等化學反應過程,溶解吸收或解吸等物理化學過程,這就又涉及化學熱力學方面的基本知識。
3、工程熱力學研究內容
工程熱力學是關於熱現象的巨觀理論,研究的方法是巨觀的,它以歸納無數事實所得到的熱力學第一定律、熱力學第二定律和熱力學第三定律作為推理的基礎,通過物質的壓力 、溫度、比容等巨觀參數和受熱、冷卻、膨脹、收縮等整體行為,對巨觀現象和熱力過程進行研究。 這種方法,把與物質內部結構有關的具體性質,當作巨觀真實存在 工程熱力學書籍的物性數據予以肯定,不需要對物質的微觀結構作任何假設,所以分析推理的結果具有高度的可靠性,而且條理清楚。這是它的獨特優點。
4、工程熱力學的歷史發展
古代人類早就學會了取火和用火,不過後來才注意探究熱、冷現象的實質。但直到17世紀末,人們還不能正確區分溫度和熱量這兩個基本概念的本質。在當時流行的“熱質說”統治下,人們誤認為物體的溫度高是由於儲存的“熱質”數量多。1709~1714年華氏溫標和1742~1745年攝氏溫標的建立,才使測溫有了公認的標準。隨後又發展了量熱技術,為科學地觀測熱現象提供了測 工程熱力學書籍
試手段,使熱學走上了近代實驗科學的道路。 1798年,朗福德觀察到用鑽頭鑽炮筒時,消耗機械功的結果使鑽頭和筒身都升溫。1799年,英國人戴維用兩塊冰相互摩擦致使表面融化,這顯然無法由“熱質說”得到解釋。1842年,邁爾提出了能量守恆理論,認定熱是能的一種形式,可與機械能互相轉化,並且從空氣的定壓比熱容與定容比熱容之差計算出熱功當量。 英國物理學家焦耳於1840年建立電熱當量的概念,1842年以後用不同方式實測了熱功當量。1850年,焦耳的實驗結果已使科學界徹底拋棄了“熱質說”。公認能量守恆、能的形式可以互換的熱力學第一定律為客觀的自然規律。能量單位焦耳就是以他的名字命名的。 熱力學的形成與當時的生產實踐迫切要求尋找合理的大型、高效熱機有關。1824年,法國人卡諾提出著名的卡諾定理,指明工作在給定溫度範圍的熱機所能達到的效率極限,這實質上已經建立起熱力學第二定律。但受“熱質說”的影響,他的證明方法還有錯誤。1848年,英國工程師開爾文根據卡諾定理制定了熱力學溫標。1850年和1851年,德國的克勞修斯和開爾文先後提出了熱力學第二定律,並在此基礎上重新證明了卡諾定理。 1850~1854年,克勞修斯根據卡諾定理提出並發展了熵的概念。熱力學第一定律和第二定律的確認,對於兩類“永動機”的不可能實現作出了科學的最後結論,正式形成了熱現象的巨觀理論熱力學。同時也形成了“工程熱力學”這門技術科學,它成為研究熱機工作原理的理論基礎,使內燃機、汽輪機、燃氣輪機和噴氣推進機等相繼取得迅速進展。 與此同時,在套用熱力學理論研究物質性質的過程中,還發展了熱力學的數學理論,找到了反映物質各種性質的相應的熱力學函式,研究了物質在相變、化學反應和溶液特性方面所遵循的各種規律 。1906年,德國的能斯脫在觀察低溫現象和化學反應中發現熱定理;1912年,這個定理被修改成熱力學第三定律的表述形式。
二十世紀初以來,對超高壓、超高溫水蒸汽等物性,和極低溫度的研究不斷獲得新成果。隨著對能源問題的重視,人們對與節能有關的複合循環、新型的複合工質的研究發生了很大興趣。
“工程熱力學”課程是一門重要的專業基礎課程。一般第四學期開設,是動力、建環類本科的第一門專業基礎課。該課程主要內容由工質的性質、熱力學第一定律、熱力學第二定律及兩大定律的套用等組成。然而,在這幾個大內容之下卻有眾多的概念和公式,有的概念還比較抽象、難理解。
“工程熱力學”課程概念眾多,貫穿全書的主幹內容是熱力學第一定律、熱力學第二定律,它們之間互相引用、關係密切、錯綜複雜。本文給出的體系構想思路是:(1)建立推導熱力學第一定律能量方式所需要的概念。在該部分里,將概念按照工質、系統、狀態、過程和循環五部分歸類,突出“工程熱力學”課程的整體性,明確指出“工程熱力學”最關心的量是哪些,最終要解決什麼問題,以便使學生的學習目標明確。(2)推導熱力學第一定律能量方程式。(3)給出能量方程式中出現的△u、△h和以後要用到的△s的計算方法。(4)對理想氣體基本的熱力學過程進行詳細討論。(5)給出熱力學一般關係。(6)給出有關水蒸汽的概念、圖表以及狀態參數的確定方法並對水蒸氣熱力過程進行討論。(7)引入熱力學第二定律。(8)濕空氣。(9)氣體的流動。(10)氣體動力循環。(11)蒸汽動力循環。(12)製冷循環。(13)化學熱力學。(14)溶液化學。在每一個部分中時時刻刻體現“工程套用”和條理性。
“工程熱力學”基本知識
(1)工質。實際氣體、理想氣體、混合氣體。
(2)系統。1)系統:系統、外界、邊界、熱源。2)閉口系統和開口系統。3)絕熱系統。4)孤立系統。
(3)狀態。1)狀態:非平衡狀態、平衡狀態。2)狀態參數:狀態參數、狀態參數特徵、基本狀態參數、廣義力和廣義位移參數、導出量。3)狀態方程式:實際氣體、理想氣體。4)標準狀態:標準狀態、標米3。5)系統的儲存能。
(4)過程。1)過程:實際過程、準靜態過程、可逆過程。2)過程量:熱量和示熱圖、功量和示功圖、正負號規定。
(5)循環。循環、循環淨功、正循環及其效率、逆循環及其性能係數。
熱力學第一定律
一般形式能量方程式。閉口系統能量方程式、混合問題、充氣問題、放、漏氣問題以及穩態流動能量方程式。其中,穩態流動能量方程式包括動力機械、壓氣機、換熱器、噴管。
.理想氣體的基本熱力過程
定容過程、定壓過程、定溫過程、定熵過程、多變過程、熱力學基本過程的公式表、壓氣機。其中,壓氣機包括壓氣機的種類、壓氣機的工作原理、壓氣機的理論壓氣功、多級壓縮及優點、余隙對排氣量的影響。
三、“基本知識”部分說明
(1)在“基本知識”部分,將概念分為工質、系統、狀態、過程和循環五大類,使學生學習完“工程熱力學”後具有一個整體感,明確“工程熱力學”最關心的量是哪些,“工程熱力學”最終要解決什麼問題,以便使學生明確學習目標。
(2)在“實際氣體狀態方程式”部分,列舉一些實際氣體狀態方程式,提及查圖表法和壓縮因子法,使學生對實際氣體狀態參數的確定有全面了解。
(3)在“廣義力和廣義位移”部分引出“熵”,讓學生知道“熵”是溫度所對應的廣義位移和“熵”的公式定義,以便讓學生早了解“熵”,從而分散難點。
(4)在“狀態參數”部分將壓力、溫度、比容、內能、焓和熵一起講完,讓學生對我們最關心的六個狀態參數具有一個整體感。熵的提前講可以使學生早點認識熵,並可以使得水蒸汽提前講,讓第一、二定律之間有較大的時間間隔。
(5)將實際過程、準靜態過程和可逆過程放在一起對照著講。使學生知道實際過程所經歷的狀態是一個非平衡狀態,有磨擦,有溫差傳熱。準靜態過程進行的相當緩慢,以致所經歷的狀態是無限小的偏離平衡狀態,有點磨擦,有點溫差熱。而可逆過程所經歷的狀態是一個平衡狀態,無磨擦,無溫差傳熱。從而使學生體會到可逆過程是理想化的過程。
(6)在“過程”部分要強調過程可以用函式表示,該函式是過程特徵方程。
(7)在“過程量”部分將熱量、容積功、壓力功、技術功、軸功、流動功和可逆技術功一起講,使學生對所有的過程量有個整體感。同時,讓學生知道過程量的一般計算方法,即將過程特徵方程代入積分。
(8)在本課程的開始要告訴學生實際問題是相當複雜的,“工程熱力學”解決問題的思路是首先將問題理想化、簡單化,然後再對誤差大的進行修正。不能理想化的則要用非平衡熱力學的方法來解決,相當複雜。
(9)在“循環”部分讓學生知道計算循環淨功、效率和性能係數的一般方法。工質的質量流量起著放大係數的作用。
在“熱力學第一定律”部分,首先推導一般形式的能量方程,再分別對閉系、混合問題、充氣問題、穩定流動問題進行簡化。最後,再將穩定流動能量方程套用到壓氣機、汽輪機、換熱器和管道。強調焓的重要性。首先讓學生牢記系統與外界之間可以有功量、熱量和物質的交換。物質流入或流出系統,隨物質轉移的能量有哪些。強調怎樣才能寫對能量方程,而不是套用。
思考題
1、如果容器中氣體壓力保持不變,那么壓力表的讀數一定也保持不變,對嗎?
答:不對。因為壓力表的讀書取決於容器中氣體的壓力和壓力表所處環境的大氣壓力
兩個因素。因此即使容器中的氣體壓力保持不變,當大氣壓力變化時,壓力表的讀數也會
隨之變化,而不能保持不變。
2、“平衡”和“均勻”有什麼區別和聯繫
答:平衡(狀態)值的是熱力系在沒有外界作用(意即熱力、系與外界沒有能、質交
換,但不排除有恆定的外場如重力場作用)的情況下,巨觀性質不隨時間變化,即熱力系
在沒有外界作用時的時間特徵-與時間無關。所以兩者是不同的。如對氣-液兩相平衡的狀
態,儘管氣-液兩相的溫度,壓力都相同,但兩者的密度差別很大,是非均勻系。反之,均
勻系也不一定處於平衡態。
但是在某些特殊情況下,“平衡”與“均勻”又可能是統一的。如對於處於平衡狀態下
的單相流體(氣體或者液體)如果忽略重力的影響,又沒有其他外場(電、磁場等)作
用,那么內部各處的各種性質都是均勻一致的。
3、“平衡”和“過程”是矛盾的還是統一的?
答:“平衡”意味著巨觀靜止,無變化,而“過程”意味著變化運動,意味著平衡被
破壞,所以二者是有矛盾的。對一個熱力系來說,或是平衡,靜止不動,或是運動,變
化,二者必居其一。但是二者也有結合點,內部平衡過程恰恰將這兩個矛盾的東西有條件
地統一在一起了。這個條件就是:在內部平衡過程中,當外界對熱力系的作用緩慢得足以
使熱力系內部能量及時恢復不斷被破壞的平衡。
4、“過程量”和“狀態量”有什麼不同?
答:狀態量是熱力狀態的單值函式,其數學特性是點函式,狀態量的微分可以改成全
微分,這個全微分的循環積分恆為零;而過程量不是熱力狀態的單值函式,即使在初、終
態完全相同的情況下,過程量的大小與其中間經歷的具體路徑有關,過程量的微分不能寫
成全微分。因此它的循環積分不是零而是一個確定的數值。
相關學科
機械學、傳熱學、工效學、機械動力學、摩擦學、汽車力學、地面車輛力學、燃燒學、機構學、機械製圖、人機工程學、系統工程學、流體力學。

