簡介
準圓是用橢圓參數確定的圓。
準圓
準圓橢圓的兩正交切線的交點的軌跡稱為準圓,即圓心在橢圓的中心、半徑為的圓。
方程
準圓
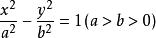
準圓對於橢圓,準圓方程是;
準圓
準圓對於雙曲線,準圓方程是。
圓
在一個平面內,一動點以一定點為中心,以一定長度為距離旋轉一周所形成的封閉曲線叫做圓。圓有無數個點。
在同一平面內,到定點的距離等於定長的點的集合叫做圓。圓可以表示為集合{M||MO|=r},圓的標準方程是(x-a)²+(y-b)²=r²。其中,(a,b)是圓心,r是半徑。
圓形是一種圓錐曲線,由平行於圓錐底面的平面截圓錐得到。
圓是一種幾何圖形。根據定義,通常用圓規來畫圓。 同圓內圓的直徑、半徑長度永遠相同,圓有無數條半徑和無數條直徑。圓是軸對稱、中心對稱圖形。對稱軸是直徑所在的直線。 同時,圓又是“正無限多邊形”,而“無限”只是一個概念。當多邊形的邊數越多時,其形狀、周長、面積就都越接近於圓。所以,世界上沒有真正的圓,圓實際上只是概念性的圖形。
