引入
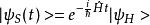
海森伯表象與薛丁格表象不同,海森堡表象下基矢不會隨時間改變(不顯含t) ,其中右矢可以標記為:
海森伯表象選取的基矢不變,但我們知道測得的觀測量數值一般是隨時間變化的,這樣就有隨時間變化的觀測量:
海森伯表象很自然地,為了避免矛盾,我們要要求在海森堡表象下與物理觀測量對應的算符要隨時間變化,標記為:
於是在海森堡表象下:
海森伯表象性質
海森堡表象與薛丁格表象之間基矢的轉化關係:
海森伯表象同一物理觀測量所對應的算符的轉化關係:
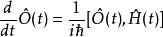
海森伯表象在海森堡表象下運動方程為:
海森伯表象套用
海森堡表象的結構上相對於薛丁格表象和相互作用表象較為簡單,多用於進行一些形式化的理論推導。

