理論簡介
微觀粒子有波動和粒子兩重性質,1926年E.薛丁格從粒子的波動性出發,用波動方程來描述粒子體系的運動規律,解決了許多理論和實際的問題,這種理論就是波動力學。1925年左右,由W.K.海森伯、M.玻恩、W.泡利等從粒子的粒子性出發,用矩陣的形式來描述粒子體系的運動規律,也解決了同樣的問題,這種不同於波動方程的矩陣運算形式的理論稱為矩陣力學。
計算
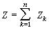
矩陣力學和波動力學描述客觀規律的形式雖然不同,但是兩者實質上是一致的,它們都是描述同一微觀粒子運動規律的理論。
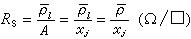
坐標
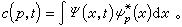
1比較直觀一點,粒子體系的狀態可用位置坐標為自變數、時間為參量的波函式 ψ( x, t)來描述(以下均考慮一維情況,所得結果易於推廣至三維),| ψ( x, t)|2表示t時刻粒子在位置坐標x附近單位體積出現的幾率。但是ψ(x,t)可以用動量孨的本徵函式的正交、歸一、完全集{ψp(x)}展開,即式中
2展開係數
3可見,粒子體系的狀態既可以由已知的 ψ( x,t)來描述,也可以用с( p,t)來描述。 ψ( x,t)和с( p,t)是兩種等價的不同表示形式的波函式。 ψ (x,t)叫做坐標表象(或稱 x表象)波函式,с( p, t)叫做動量表象(或稱 p表象)波函式。
相似地 ψ( x, t)可以用任一力學量 孶的本徵函式完全集{ Un( x)}( n=1,2,3,…)展開(為了便於說明,設 孶的本徵值具有分立譜),即
4
5展開係數為因此,若已知 ψ( x, t),則同樣可以通過式⑷算出 an( t)來,用數字集合{ an( t)}來描述這個狀態,{ an( t)}叫做Q表象波函式。
可見,對於同一狀態,有不同的表示形式,分別都是用一組數字集合(分立的或連續的或兼而有之)來描述狀態,這些不同的表示形式中的每一個叫做一個表象。當要解決某特定問題時,便選取一個特定的Q表象,相當於選取一個特定的坐標系。Q表象中的本徵函式正交、歸一、完全集{ Un( x)},是這一表象中的一組基矢(簡稱基),它相當於坐標系中的一組單位矢量,而波函式{ an( t)}是態矢量 ψ 在 Q表象中各基矢方向上的投影(一組數字),這就是表象理論的幾何圖像。
算符
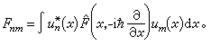
6表示力學量的算符,在不同表象中也有不同的表示形式。在坐標表象中, 各種力學量的算符形式是是動量算符。算符
7作用在波函式 ψ( x, t)上得到另一個新的波函式 Ф( x, t),即
8在Q表象中可將 ψ( x, t)和Ф( x, t)分別用 孶 的本徵函式完全集{ Un( x)}展開,展開係數的數字集合{ an( t)}和{ bn( t)}就是Q表象中分別與 ψ( x, t)和Ф( x, t)等價的波函式。利用{ Un( x)}正交、歸一的性質,可得到
9
10
11式中Q表象中的式⑹和坐標表象中的式⑸相當,寫成矩陣運算形式時為即在Q表象中,算符 弲 的表示形式是把數字集合{ Fmn}排成一個方形矩陣, Fmn表示方形矩陣中第 n行第 m列的元素,即
12而波函式 ψ( x, t)和Ф( x, t)在Q表象中的表示形式,是把數字集合{ an( t)}和{ bn( t)}分別排成一個列矩陣,即
13
14對於 孶的本徵值具有連續譜的情況,以上的論述仍然成立,只是{ Un( t)}、{ an( t)}和{ bn( t)}等的角注 n要換成連續變化的λ,求和要換成對λ求積分,此時式 ⑺寫成仍然把它看作矩陣元,{ Fλ'λ}看成方形矩陣,{ aλ( t)}和{ bλ ( t)}看成列矩陣,矩陣的行和列都是連續編號的。
量子力學中採用不同的表象在理論上是完全等價的,而在實際工作中選取什麼表象取決於所討論的問題,表象選得適當可以使問題簡化。
可以用表象理論的幾何圖像來說明表象變換。選取一個特定的表象,相當於在抽象的希耳伯特空間中選取一個有一組完全基矢(本徵函式集)的特定的坐標系,表象變換相當於坐標系的基矢變換,從一個A表象變換到一個B表象,相當於由一組基矢{ ψn( x)}( ┭的本徵函式集)變到另一組基矢{嗞α( x)}( 峺)的本徵函式集),這種變換是通過一個變換矩陣的作用來實現的。{ ψn( x)}是完全集,B表象中的每一基矢嗞α( x)都可按{ ψn( x)}展開
15可見這個變換矩陣是一種么正矩陣,式⑻中兩種表象之間基矢的變換是一個么正變換。
態
態的表象表示
⑴ 坐標表象
以坐標算符的本徵態為基底構成的表象稱為坐標表象。
⑵ 動量表象
以動量算符的本徵態為基底構成的表象是動量表象。選x為自變數,動量算符的本徵函式是平面波。
動量表象也可以用動量為自變數表示。在Px表象中,粒子具有確定動量分量Px的波函式是以Px為自變數的函式
⑶ 任意表象
設有某一線性厄米算符。為敘述方便起見,假定算符具有分立本徵值譜。物理意義是:當體系處在以(r,t)所描述的狀態時,力學量Q具有確定值Qn的機率是具有和波函式統計解釋相同的機率解釋。
說明:希爾伯特空間,空間的維數等於完備、正交、歸一的本徵函式系中本徵函式的個數,它可以是有限維的,也可以是無窮維的,而且空間的基底既可以是個實向量也可以是個複函數。態矢量是個復矢量。
量子態希爾伯特空間中的態矢量; 波函式態矢量在特定基底中的分量,可用列矩陣或用函式表示; 任意算符的本徵函式系表象的基;不同表象不同基,不同坐標系;本徵函式基矢;厄米算符的本徵函式系一組完備的基矢。

