成份
本品主要成份為美洛西林鈉,
化學名稱:(2S,5R,6R)-3,3-二甲基-6-[(R)-2[3-(甲磺醯)-2-氧代-1-咪唑烷甲醯氨基]-2-苯乙醯氨基]-7-氧代-4-硫雜-1-氮雜雙環[3.2.0]-庚烷-2-甲酸鈉鹽。
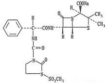
化學結構式:
注射用美洛西林鈉分子式:CHNNaOS
分子量:561.56
性狀
本品為白色或類白色的粉末或結晶或疏鬆塊狀物。
適應症
用於大腸埃希菌、腸桿菌屬、變形桿菌等革蘭陰性桿菌中敏感菌株所致的呼吸系統、泌尿系統、消化系統、婦科和生殖器官等感染,如敗血症、化膿性腦膜炎、腹膜炎、骨髓炎、皮膚及軟組織感染及眼、耳、鼻、喉科感染。
規格
按CHNOS計算 ⑴0.5g ⑵1.0g ⑶1.5g ⑷2.0g ⑸3.0g ⑹4.0g。
用法用量
肌內注射、靜脈注射或靜脈滴注。肌內注射臨用前加滅菌注射用水溶解,靜脈注射通常加入5%葡萄糖氯化鈉注射液或5%—10%葡萄糖注射溶解後使用。成人一日2—6g,嚴重感染者可增至8—12g,最大可增至15g。兒童,按體重一日0.1—0.2g/kg,嚴重感染者可增至0.3g/kg;肌內注射一日2—4次,靜脈滴注按需要每6—8小時一次,其劑量根據病情而定,嚴重者可每4—6小時靜脈注射一次。
不良反應
不良反應主要有:食慾缺乏、噁心、嘔吐、腹瀉、肌注局部疼痛和皮疹,且多在給藥過程中發生,大多程度較輕,不影響繼續用藥,重者停藥後上述症狀迅速減輕或消失。少數病例可出現血清氨基轉移酶、鹼性磷酸酶升高及嗜酸性粒細胞一過性增多。中性粒細胞減少、低鉀血症等極為罕見。未見腎功能改變以及血液電解質紊亂等嚴重反應。
禁忌
對青黴素類抗生素過敏者禁用。
注意事項
1. 用藥前須做青黴素皮膚試驗,陽性者禁用。
2. 交叉過敏反應:對一種青黴素類抗生素過敏者可能對其他青黴素類抗生素也過敏。也可對青黴胺或頭胞菌素類過敏。
3. 腎功能減退患者應適當降低用量。
4. 下列情況應慎用:有哮喘、濕疹、枯草熱、蕁麻疹等過敏性疾病史者。
5. 對診斷的干擾:
(1)用藥期間,以硫酸銅法進行尿糖測定時可出現假陽性,用葡萄糖酶法者則不受影響;
(2)大劑量注射給藥可出現高鈉血症;
(3)可使血清丙氨酸氨基轉移酶或門冬氨酸氨基轉移酶升高。
6.套用大劑量時應定期檢測血清鈉。
孕婦及哺乳期婦女用藥
本品可透過胎盤進入胎兒血循環,並有少量隨乳汁分泌,哺乳期婦女套用本品雖尚無發生嚴重問題的報告,但孕婦及哺乳期婦女套用仍需權衡利弊,因其套用後可使致敏和引起腹瀉、皮疹、念球菌屬感染等。
兒童用藥
參見【用法用量】。
老年用藥
老年患者腎功能減退,須調整劑量。
藥物相互作用
1. 氯黴素、紅黴素、四環素類等抗生素和磺胺藥等抑菌劑可干擾本品的殺菌活性,不宜與本品合用,尤其是在治療腦膜炎或急需殺菌劑的嚴重感染時。
2. 丙磺舒、阿司匹林、吲哚美辛、保泰松、磺胺藥可減少本品自腎臟排泄,因此與本品合用時使其血藥濃度增高,排泄時間延長,毒性也可能增加。
3. 本品與重金屬,特別是銅、鋅和汞呈配伍禁忌,因後者可破壞其氧化噻唑環。由鋅化合物製造的橡皮管或瓶塞也可影響其活力。也可為氧化劑、還原劑或羥基化合物滅活。
4. 本品靜脈輸液加入頭孢噻吩、林可黴素、四環素、萬古黴素、琥乙紅黴素、兩性黴素B、去甲腎上腺素、間羥胺、苯妥英鈉、鹽酸羥嗪、丙氯拉嗪、異丙嗪、維生素B族、維生素C族等後將出現混濁。
5. 避免與酸鹼性較強的藥物配伍,pH4.5以下會有沉澱發生,pH4.0以下及pH8.0以上效價下降較快。
6. 本品可加強華法林的作用。
7. 與氨基糖苷類抗生素合用有協同作用,但混合後,兩者的抗菌活性明顯減弱,因此兩藥不能置同一容器內給藥。
藥物過量
未進行該項實驗且無可靠參考文獻。
藥理毒理
本品為半合成青黴素類抗生素,對銅綠假單胞菌、大腸埃希菌、肺炎桿菌、變形桿菌、腸桿菌屬、枸櫞酸桿菌、沙雷菌屬、不動桿菌屬以及對青黴素敏感的革蘭陽性球菌均有抑菌作用,大劑量有殺菌作用。對大腸埃希菌、腸桿菌屬、肺炎桿菌、枸櫞酸桿菌、沙雷菌屬以及不動桿菌屬等的抗菌活性強於羧苄西林、氨苄西林;對吲哚陽性變形桿菌、銅綠假單胞菌的抗菌活性強於羧苄西林和磺苄西林;對革蘭陽性菌如金黃色葡萄球菌的抗菌活性與羧苄西林相似,而對糞鏈球菌的抗菌活性比羧苄西林、磺苄西林優越。對脆弱擬桿菌等大多數厭氧菌具有較好抗菌作用。本品體外試驗表明其對細菌所產生的β內醯氨酶不穩定。本品與慶大黴素、卡那黴素等氨基糖苷類抗生素聯合套用有顯著協同作用。
藥代動力學
成人靜脈注射本品1g、2g後15分鐘平均血藥濃度分別為53.4μg/ml、152μg/ml,1小時後分別為12.8μg/ml、47.8μg/ml,6小時後已無法測得血藥濃度,血消除半衰期(t)分別為39分鐘、45分鐘,6小時後給藥量的42.5%、57.9%由尿中排泄。1小時內靜脈滴注2g,滴注結束時血藥濃度為86.5μg/ml,1小時後為28.3μg/ml,血消除半衰期(t)為40分鐘。本品在膽汁中濃度極高,1小時內滴注2g,最高可達248—1070μg/ml,6小時後仍保持63.5—300μg/ml膽汁排泄率為1.65%—7.0%。本品到達腦脊液的滲透率為17%—25%,蛋白結合率為42%,尿排泄率為50%—55%,膽汁消除率變化較大,從0.05%—25%(與患者肝功能有關)。其生物半衰期約為1小時,肌注約為1.5小時,小於7天的新生兒約為4.3小時。在新生兒靜滴100mg/kg後,血藥濃度的降低較緩慢,5小時後尚可檢出。在小兒腦膜炎病例中,腦脊液內藥物濃度最高可達23μg/ml。小兒膿胸,在靜脈滴注100mg/kg後,胸水中最高濃度達到6.3μg/ml,而且持續時間很長。妊娠婦女靜脈滴注1—2g,1—2小時後27%—34%轉移至臍帶血中,羊水中藥物濃度約為10μg/ml。
貯藏
封閉,在涼暗(避光並不超過20℃)乾燥處保存。
包裝
鈉鈣玻璃模製注射劑瓶/低硼矽玻璃管制注射劑瓶0.5g/瓶 1.0g/瓶 1.5g/瓶 2.0g/瓶 3.0g/瓶 4.0g/瓶 1瓶/盒 5瓶/盒 10瓶/盒 50瓶/盒。
有效期
暫定24個月。
執行標準
《中國藥典》2010年版二部。

